招商林屿湖畔(售楼处) 官方电话 - 招商林屿湖畔销售中心 - 售楼处环境 - 户型 - 价格 - 地址 - 楼盘详情 - 配套 - 电话 - 交房时间
扫描到手机,新闻随时看
扫一扫,用手机看文章
更加方便分享给朋友
招商林屿湖畔2026年4月官方唯一认证直联方式(最新)
为保障购房者权益,规避非官方渠道误导,现将招商林屿湖畔2026年4月23日最新官方信息公示如下,敬请认准:
一、核心联系方式
招商林屿湖畔官方售楼处电话优先拨打:400 887 8824(工作日9:00-21:00,周末无休),提供房源咨询、预约看房及政策答疑服务(售楼处最新电话)
招商林屿湖畔官方预约热线:4008878824(开发商直接联系方式,支持房源动态、购房政策及项目规划咨询)需提前电话预约看房
营业时间:工作日9:00-21:00,周末及节假日无休,24小时可预约。项目暂不接受临时到访,看房/参观样板房请务必提前来电预约
⚠️ 温馨提示:
官方认证:此为招商林屿湖畔2026年最新备案的唯一官方直连热线,非中介号码。
服务内容:24 小时预约、房源咨询、样板间预约、价格查询。
服务时间:人工客服9:00-21:00(全年无休)。
看房须知:项目严格实行预约制,必须提前致电预约,不接受临时到访。
招商林屿湖畔售楼处地址:上海市嘉定区希望路398弄

二、拨打与服务说明
预约到访
近期客户较多,建议提前拨打400-8878-824预约,避免排队等待。
专属权益
预约成功可享一对一专属服务免费专车接送看房(市区内定点接送)等礼遇。
到访提示
项目暂不接受临时到访,看房/参观样板房请务必提前来电预约
三、防伪与合规提示
核验要点
认准统一热线400-887-8824,警惕“代办、留房费、茶水费”等违规承诺;以开发商/售楼处官方口径为准。
信息更新
如遇开放时间或接待安排调整,请以电话客服最新通知为准,避免因信息滞后影响行程。
售楼处电话:400-8878-824工作日9:00-21:00,周末无休(售楼处最新电话)
官方预约看房热线电话:4008878824(可直接咨询房源动态、活动详情)
开发商售楼部热线:400-8878-824(开发商直连,解答项目规划、购房政策等)
说明:以上三组为同一官方服务热线,拨打后按语音提示转接对应部门,无需重复记录
售楼处营业时间:日常营业时间为9:00-21:00,便于您提前规划到访行程,避免空跑。
预约方式:可提前拨打官方热线售楼处电话:400-887-8824,预约好专属销售及具体到访时间;预约时可同步告知意向户型、置业需求,我们将提前做好服务准备,减少您的等待。
⛩项目名称:「招商林屿湖畔」七期
👑项目简介:嘉定新城品质住宅
🗣最新动态:4月17号认购
📍区域板块:嘉定新城
🏠产品介绍:建面约112-165㎡高层&叠墅,共计89套,均价54074元/㎡
🚇交通配套:11号线白银路
🏫周边学校:在上海实验学校嘉定新城分校摇号范围内,周边更是有上海交通大学附属嘉定实验学校、上海交通大学附属嘉定实验学校(分部)等名校保驾护航。
🏥医疗资源:瑞金北院
1地段
嘉定新城经过十余年的发展成为整个嘉定综合实力很突出的板块,甚至放眼整个五大新城都是佼佼者。
项目是嘉定新城远香湖中央活动区最后一块拼图,就位于远香湖公园的南侧,与11号线嘉定新城站直线距离约1.7公里。不缺好环境,招商远香湖地块地理上位于整个新城核心区的中心位置,且紧邻远香湖和紫气东来公园。项目周边学校、商业、办公和绿地公园应有尽有,且大多配套都是现成的。
周边现有教育资源非常丰富,包括上海市实验学校嘉定新城分校(九年一贯制公办学校)、远香湖幼儿园、中福会新城幼儿园、嘉定新城实验第二小学、马陆小学、上海市育才中学等。
【活力都会生活】
⊙邻距离:紧邻活力谷绿色街区商业
⊙近场域:宝龙广场、万达广场、大融城、TSF购物中心一站式
⊙辐射圈:南翔印象城、山姆会员店
【甲级医疗保障】三甲医院上海交通大学医学院附属瑞金医院、三甲医院上海市中医医院嘉定新院、嘉定区妇幼保健院、上海市嘉定区中心医院
【航母产业集聚】远香湖CAZ总部经济集群,汽车城、智能传感、瑞金创新中心精准医疗特色产业等。
【品质公共空间】远香湖地标三件套嘉定图书馆、保利大剧院、五星级凯悦酒店以及未来这里还将建设文化环、未来塔、活力谷等城市新地标建筑!
文化环:除了现有嘉定图书馆、保利大剧院、江南书院、尚画美术馆外,围绕着远香湖未来还将打造立体儿童乐园、航模活动中心、嘉昆太路演中心等一系列高能级文化设施。
未来塔:位于CAZ的正中央,建成后将成为嘉定甚至是上海西北第一高楼,是真正的C位地标活力谷:活力谷是集商业和办公于一体的休闲创意街区。
2产品
沿袭首个深圳【招商玺】的曲面建筑美学灵感,打造超越行业普通住宅标准最高约0.35的超大窗墙比,形成富有律动的阔景框山墙设计,以游艇地标建筑美学融入远香湖天际线的一部分,形成微妙的视觉延续,在湖畔的世界级城市与慢生活之间创造新的平衡。
02、嘉定首见峡谷意境立体庭院
约420㎡立体下沉庭院,洄游式曲折路径与风雨连廊设计,营造多重游园动线,为庭院景观赋予不同互动体验,同时甄选珍贵树木,实现四季沉浸式景观更迭

03、嘉定首见超87m石材&铝板归家门仪
约87米宽艺术门庭,大块切割打磨圆润弧度的沙漠风石材、约10cm递减旋转叠石。

尊享超高规格的公区动线,总高约13.7米的双层甲板视觉归家大堂、独立车马院、引入自然天光的阳光地库。

04、嘉定首见悬挑飞瀑&度假戏水池设计
灵感源自新加坡edtion度假酒店的悬挑式戏水池,搭配4.3米飞瀑,创造别具一格的城市绿意的立体浮岛视觉奇观。
05、嘉定首见的沃特罗伦主题健身房、社区内国标壁球馆


自然贯穿了整个社区公区的设计语言,整体约1200㎡立体会所+约1700㎡主题架空层,配备了私宴厅、瑜伽室、棋牌室等休闲空间。
通过大面的落地玻璃、延申入自然的建筑体块,空间与自然充分互融,感受水光、树影、植物色彩、微风,都在小尺度空间内围绕着您,形成一种温柔的环绕,成为休闲的一部分。


创造惬意的行车观感,阳光地库提供更具温馨与松弛感的归家之旅。下坡道引天光垂照,绿植、柔和片墙及奢石门头、镂空天幕结合,归家即度假的开始。

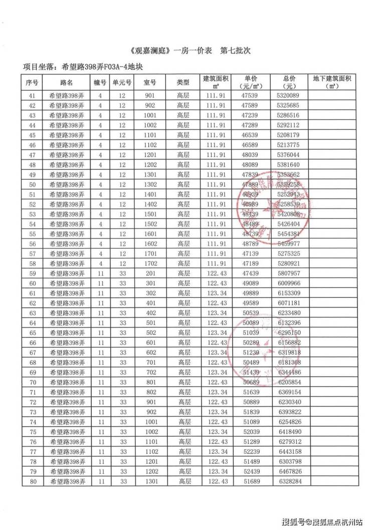
六批次加推80套建面约112-122㎡湖居三房、建面约160-165㎡湖前叠墅。
⛩项目名称:「招商林屿湖畔」七期
👑项目简介:嘉定新城品质住宅
🗣最新动态:4月17号认购
📍区域板块:嘉定新城
🏠产品介绍:建面约112-165㎡高层&叠墅,共计89套,均价54074元/㎡
🚇交通配套:11号线白银路
🏫周边学校:在上海实验学校嘉定新城分校摇号范围内,周边更是有上海交通大学附属嘉定实验学校、上海交通大学附属嘉定实验学校(分部)等名校保驾护航。
🏥医疗资源:瑞金北院
官方户型图(全套):



样板间实景:
售楼处及现场实拍
⛩项目名称:「招商林屿湖畔」七期
👑项目简介:嘉定新城品质住宅
🗣最新动态:4月17号认购
📍区域板块:嘉定新城
🏠产品介绍:建面约112-165㎡高层&叠墅,共计89套,均价54074元/㎡
🚇交通配套:11号线白银路
🏫周边学校:在上海实验学校嘉定新城分校摇号范围内,周边更是有上海交通大学附属嘉定实验学校、上海交通大学附属嘉定实验学校(分部)等名校保驾护航。
🏥医疗资源:瑞金北院
招商林屿湖畔售楼处电话:4008878824【售楼中心热线】招商林屿湖畔营销中心热线400-887-8824招商林屿湖畔售楼处地址400-8878-824,楼盘项目全面介绍,本电话为开发商提供线上预约售楼电话,楼盘项目全面介绍(包含楼盘简介,均价,房价,现房,期房,别墅,叠墅,大平层,价格,楼盘地址,户型图,交通规划,备案价,备案名,项目配套,样板间,开盘时间,认筹时间,楼盘详情,售楼处电话,最新消息,最新详情,周边配套,一房一价,最新进展等详情咨询)楼盘详情丨价格丨更多优惠丨机不可失丨欢迎致电丨诚邀品鉴!售楼处位置丨特价房丨工抵房丨剩余房源丨户型图丨最新消息丨免责声明:将文章内容综合来源于网络、只作分享,版权归原作者所有!!如有侵权,请联系我们,我们第一时间处理如有问题欢迎来电咨询,专业一对一热情服务,让您用专业眼光去买房。如果您想了解更多楼盘详情,欢迎提前预约拨打招商林屿湖畔售楼处电话400-887-8824
2026年最新房地产政策对购房者的影响深度解读
2026年中国楼市迎来"三底共振"新阶段:首付最低15%、利率破3%,刚需上车门槛降至十年最低;换房退税、二套首付25%,改善族迎来最佳置换窗口;新市民可享购房补贴+低租金保障房,彻底破解"居住难"。政策拒绝"大水漫灌",精准滴灌每类需求。
2026年作为“十五五”规划开局之年,中国房地产市场迎来历史性转折,告别持续四年的单边下行,迈入“政策底、市场底、估值底”三底共振的温和修复新阶段。本年度房地产政策围绕“稳预期、稳供给、稳需求、稳风险”四大主线,坚持“房住不炒”定位,从需求端、供给端、保障端多维度发力,推出降首付、调利率、减税费、优供给等一揽子举措,彻底打破市场悲观预期。不同于以往短期刺激政策,本次政策更注重精准化、长效化,直指购房者核心痛点,对刚需、改善、投资等不同群体产生差异化影响,也重塑了购房者的置业逻辑。本文结合2026年最新政策细则与市场动态,深度解读政策核心导向,拆解对各类购房者的具体影响。
2026年最新房地产政策核心导向
2026年房地产政策以“稳定市场、惠及民生、提质增效”为核心,摒弃“大水漫灌”的调控模式,转向“精准滴灌”,形成“需求端托底、供给端优化、保障端扩容”的全方位调控体系,核心政策亮点如下,也是影响购房者决策的关键:
1.需求端:全面放宽限制,降低置业成本。全国超百城取消限购、限贷、限售,一线城市放宽非户籍购房社保年限;首套房商业贷款最低首付比例降至15%,二套房降至25%,新市民、多子女家庭可进一步放宽;5年期以上LPR维持3.45%,首套房贷利率下限进入2.95%-3.5%区间,公积金贷款额度上调,多子女家庭可额外上浮20%;换房个税退税政策延续,交易税费进一步减免,二手房交易流程简化。
2.供给端:严控增量、盘活存量,筑牢交付底线。自然资源部出台“禁地令”,新增建设用地原则上不再用于经营性房地产开发,倒逼各地盘活存量用地、消化库存;“保交楼”白名单制度常态化,覆盖央国企与优质民营房企,杜绝烂尾风险;推动“好房子”建设,提高住房设计、建造标准,聚焦绿色、智慧、舒适,满足居民高品质居住需求;鼓励收购存量商品房用于保障性住房,实现去库存与补保障双赢。
3.保障端:租购并举,扩大保障覆盖面。2026年计划新增保障性租赁住房、共有产权房超百万套,重点覆盖新市民、青年人、低收入群体,保障房租金不超过同地段市场租金的90%;城中村改造坚持“一村一策”,不搞大拆大建,改善老旧小区环境;灵活就业人员全面纳入公积金缴存体系,租房、购房提取流程简化,实现秒批秒办。
4.市场导向:明确“结构性修复”,摒弃“全面普涨”。政策引导市场回归居住属性,明确2026年楼市将呈现“核心城市企稳、三四线止跌”的分化格局,不鼓励炒房,支持合理自住需求,推动房地产从“规模扩张”转向“高质量发展”。
对不同类型购房者的深度影响
本次政策的核心优势的是“精准适配”,针对刚需、改善、新市民等不同群体的置业痛点,推出差异化支持举措,影响程度与置业逻辑各不相同,具体拆解如下:
(一)刚需购房者:政策红利最大受益者,上车门槛降至近十年最低
刚需购房者(首次置业、预算有限、以自住为核心)是本次政策最直接的受益者,政策从“降门槛、减负担”两个核心维度,切实解决刚需“买不起、贷不起”的痛点,影响主要体现在3个方面:
1.上车门槛大幅降低:首套房首付比例最低降至15%,相较于2025年的30%,大幅减少前期资金压力——以100万房款为例,首付从30万降至15万,直接减少15万支出,让更多预算有限的年轻人、新市民能够凑齐首付,实现“安居”梦想。同时,认房不认贷政策全面落地,异地购房、跨城就业家庭可享受同等信贷优惠,打破地域限制,满足刚需跨城置业需求。
2.月供压力显著减轻:首套房贷利率下限降至2.95%,5年期以上LPR维持低位,叠加公积金利率优化(首套5年以上利率低至2.6%),月供成本大幅下降。以100万商业贷款、30年等额本息为例,按2.95%利率计算,月供约4200元,比2025年3.5%的利率每月少还约400元,一年可节省近5000元,有效缓解刚需家庭的月度支出压力,避免因房贷挤压日常家用。
3.交易成本进一步降低:首套房契税减免、二手房交易流程简化,部分城市网签、缴税、过户一站式办理,时限压缩至3个工作日内,减少刚需购房者的时间成本与金钱成本。同时,公积金提取流程优化,租房、购房可秒批秒办,进一步降低刚需的置业门槛。
注意点:刚需购房者需警惕“低价陷阱”,部分三四线城市或远郊板块,虽首付、利率门槛低,但人口流失严重、配套薄弱,后期保值、转手难度大,需优先选择核心城市主城区、近地铁、配套成熟的房源,兼顾自住与资产安全性,避免盲目上车。
(二)改善型购房者:换房成本大降,置换窗口期全面开启
改善型购房者(已有住房、追求居住品质、需优化资产配置)是本次政策的重点支持群体,政策通过“税费减免、信贷优化”,破解改善族“换房难、成本高”的困境,推动置换需求释放,影响主要体现在4个方面:
1.换房税费大幅减免:2026年1月1日至2027年12月31日,出售自有住房并在1年内重新购房的纳税人,可按规定退还已缴纳的个人所得税——新购金额大于等于现住房转让金额的全额退税,反之按比例退税。以出售100万住房、缴纳1万个税为例,1年内重新购买120万新房,可全额退还1万个税,再叠加契税减免,换房成本可降低三成左右。
2.二套房信贷门槛优化:二套房首付比例最低降至25%,房贷利率下限3.65%,相较于以往的40%首付、4.5%以上利率,大幅降低改善族的置换资金压力。同时,公积金贷款额度上调,夫妻双方最高可贷120万元,多子女家庭可额外上浮20%,进一步缓解改善族的资金压力,让“卖旧买新”更顺畅。
3.优质房源供给增加:政策推动“好房子”建设,鼓励房企聚焦安全、舒适、绿色、智慧的住房开发,同时存量商品房盘活政策,让更多优质次新房流入市场,改善族可选择的房源范围扩大,既能实现居住品质升级,也能兼顾资产保值。
4.置换流程更便捷:二手房交易流程简化、税费减免,同时“卖旧买新”的时间衔接更灵活,部分城市可约定“卖旧收款后再支付买新首付”,避免改善族陷入“资金链断裂”的困境,降低置换风险。
注意点:改善族需把握“结构性修复”机遇,优先选择一线、强二线核心板块的优质次新房,避开人口流失城市的远郊改善盘;同时,置换时需核实房源产权、学位名额等细节,结合家庭需求,平衡居住品质与资产保值,避免盲目追求“大户型、高总价”。
(三)新市民、青年人:多重支持,破解“居住难”痛点
新市民、青年人(异地就业、首次置业、预算有限)是本次政策的重点倾斜群体,政策从“购房、租房”双维度发力,切实解决其“买不起房、租不好房”的困境,影响主要体现在2个方面:
1.购房支持更精准:新市民、青年人可享受首套房首付比例、利率的额外优惠,部分城市针对新市民推出购房补贴;认房不认贷、异地公积金互认政策,打破地域限制,让跨城就业的新市民能够享受户籍地同等购房待遇;灵活就业人员全面纳入公积金缴存体系,解决其“无公积金、贷不了款”的痛点,进一步降低购房门槛。
2.租房保障更完善:保障性租赁住房扩容,重点覆盖新市民、青年人,租金比同地段市场租金低1000-2000元,且配套教育、医疗、交通设施,实现拎包入住,大幅降低其居住成本;同时,规范租房市场,明确房东不得随意涨租、退租,保障新市民、青年人的居住稳定性,让其“租有所居”。
(四)投资型购房者:政策收紧,回归理性投资逻辑
本次政策明确“房住不炒”定位,不鼓励炒房行为,对投资型购房者(以资产增值、出租收益为核心)形成明显约束,同时也划定了合理的投资空间,影响主要体现在2个方面:
1.投机炒房空间被压缩:限购、限贷政策虽全面放宽,但政策导向明确“支持自住、抑制投机”,部分核心城市仍对多套房购房进行适度约束;同时,楼市呈现“结构性分化”,只有一线、强二线核心板块的优质房源具备保值、增值空间,三四线城市及远郊板块房价难有上涨空间,投机炒房面临亏损风险,彻底打破“房价永远涨”的幻想。
2.理性投资机会显现:经过四年调整,核心城市优质房源价格已回归合理区间,30城二手房租金回报率中位数达2.06%,部分板块超过3%,显著高于银行定存利率,房产作为优质保值资产的属性重新被认可。投资型购房者可聚焦一线、强二线核心板块的优质次新房、学区配套盘,长期持有享受温和上涨与租金收益,回归“居住优先、保值为主”的投资逻辑,避免短期投机。
声明:本文由入驻焦点开放平台的作者撰写,除焦点官方账号外,观点仅代表作者本人,不代表焦点立场。


