世纪臻邸 (售楼处) 首页 - 世纪臻邸销售中心 - 环境 - 户型 - 价格 - 地址 - 楼盘详情 - 配套 - 电话 - 交房时间 - 配套 - 电话 - 交房时间
扫描到手机,新闻随时看
扫一扫,用手机看文章
更加方便分享给朋友
——世纪臻邸——
世纪臻邸售楼处电话:400-8385-958✔【最新预约】⭐⭐⭐⭐⭐
世纪臻邸营销中心电话:400-8385-958✔✔【最新认证】⭐⭐⭐⭐⭐
上海世纪臻邸官方售楼处电话:400-8874-1 08 VIPLINE✔✔✔【最新发布】⭐⭐⭐⭐⭐
如有问题可来电咨询,线上售楼中心,预约销售专员,一对一为您服务!
想了解世纪臻邸更多信息?拨打售楼处营销中心热线:400-8385-958 (中介勿扰)【24小时热线】世纪臻邸
陆家嘴【世纪臻邸】
27套建面约109-261平房源
均价约13.18万/㎡
主力建面约150㎡房源总价约2000万级
更有6套建面约179-261㎡带露台的复式房源
01
PART
区域介绍
从世纪臻邸出发,往西南约500米,就是4轨交的世纪大道。
这里是全浦东的心脏位置,4轨交环绕的格局放眼全市凤毛麟角,除便捷出行外,更意味着来自四面八方的高阶购买力将汇聚陆家嘴。
4轨交另一个意义在于成功激活商办,只有交通通达性高,白领们才会更愿意前来工作、消费、生活。
所以,以世纪臻邸为中心,周边能享受到的一切配套,都是上海更具能级、活力以及潮流范的顶级资源。
往西南约3km,就是陆家嘴金融圈。
这里是全球海量财富聚集的聚集地!在这里,“蝴蝶”的微小颤抖,可能牵动着千里之外天文数字的财富。
住在金融的风暴眼,掌控一切的感觉油然而生。
无论是已功成名就的实业巨子,还是执未来牛耳的金融新贵,世纪臻邸都是他们目前在陆家嘴唯一的选择。
往东南约1.5km,就是上海的城市绿肺世纪公园。
占地140.3公顷的世纪公园作为对标纽约中央公园的城心绿肺,在浦东享有极高的盛誉。
园内四季花开,绿树长荫,是大都市中的一片绿洲、天然氧吧,也是浦东内环内繁华中的一片宁静,深受国际圈层都市精英的喜爱。

四轨交+高端潮流的商业+全球金融中心+顶级生态资源,世纪臻邸所占据的资源和地段,在上海无疑是属于TOP级的。
02
PART
楼盘介绍
世纪臻邸仅27套房源,建面约109-261㎡房源,其中主力户型为建面约150㎡。
关于产品,有几大重点跟大家拎一下:
第一,世纪臻邸项目归属于陆家嘴集团旗下住宅最高端产品“世纪系“,产品力很强。
这一点从项目各项维度的设计公司就能看出来:
建筑设计方为上海天华建筑设计有限公司、上海建筑设计研究院有限公司;其中,天华更是凭借世纪臻邸获得了第五届REARD全球地产设计铜奖。
室内设计公司为PTA,特邀国际大师执笔室内空间美学,同频世界标准;
这个项目的产品力绝对值得期待。
第二,项目主力建面约150㎡的户型在整个上海内环,凤毛麟角。
就拿今年来说,上海内环1-6月共有2736套房源入市,但其中建面约150㎡的户型只有134套,占比约6.4%,这样的机会非常臻稀。
第三,世纪臻邸建面约150㎡户型总价或仅约2000万左右。
什么概念呢?
首先,从全市新房角度来看:与陆家嘴同级别的新天地、外滩、巨富长等等区域,今年你要买到约150+㎡的新房,套均总价要2632.7万。
也就是说,在黄浦、老静安买110㎡小3房的预算,现在直接能在世纪臻邸上车约150㎡双套房豪装3房,尺度感、功能性的跃迁不言而喻!
其次,从陆家嘴的二手房市场来看:由于稀缺、所以建面约150㎡面积段的产品,在整个陆家嘴二手房市场中非常吃香。
目前陆家嘴二手房市场约150-170㎡房源的挂牌均价超过了16.85万/㎡,换算成总价就是约2500万起。而世纪臻邸建面约150㎡的房源总价仅约2000万左右,这个价格在陆家嘴,称得上是性价比极高,并且潜力十足。
除了产品外,世纪臻邸还有两大优势。
第一,项目是一个涵盖办公、住宅、商业三种业态的综合体项目。
陆家嘴集团将这些丰富的业态,精细“编织”到世纪臻邸的地块里。
于街区,实现从提供基础温饱与便利到提供情绪价值与生活享受的跃级蝶变。
于业主,从街角到商业再到入户,一路都是浓烈的城市感,穿越高级烟火气然后回到静谧的住宅中,赋予人强烈的归家仪式感。

与普通住宅项目相比,综合体就像是一个“微缩城市”,居者不用走远,下楼就能拥有吃喝玩乐购一站式服务。这种接轨国际的时尚潮流便捷生活,谁不向往?
第二,项目是准现房,最晚明年就能交房。
目前从现场观察,世纪臻邸项目住宅楼栋香槟金窗框+浅灰色铝板的外立面已进入收尾阶段,铝板、门窗等均已安装完毕。
03
PART
户型图样板间和一房一价表
建面约150平三房两卫A户型图

约150平C户型方正通透,将更多空间留给了餐客厅和主卧套房——
同样以4楼为例,B座402室户型均价约12.98万/平。
建面约150平三房两卫C户型图

项目还有少量复式+露台户型可供选择,露台北向直面陆家嘴三件套景观—



入户玄关的设计,将尊崇感,私密性拉满,还额外增加了更多的收纳空间。

其次,项目的精装标准非常出众:
三大件方面,全屋的中央空调、新风、地暖,以及加湿和除湿设备均有配备,其中中央空调选用了大金、地暖的锅炉则是博世,都是国际一线品牌。
厨房方面,电器采用美诺的5件套(抽油烟机,燃气灶(2+1),洗碗机,蒸箱和烤箱)、橱柜品牌是博洛尼,水槽是弗兰卡。
卫浴方面,三卫均配备了智能马桶和电加热毛巾架、淋浴房、花洒均是科勒精选系列。
细节方面,项目采用了拉米娜的进口电视背景墙、顶级奢侈品牌卡莉斯塔的主卫龙头、ABB的智能化控制、LG的厨房台面,甚至是阳台的电动晾衣架、水槽、吊柜都是交付标准。
轨交方面:该项目距离2/4/6/9号线世纪大道站直线距离约400米。
自驾方面:通过复兴东路隧道、人民路隧道、内环高架、南浦大桥可快速到达浦东、浦西各大城市节点。
医疗方面:有上海市东方医院、上海交通大学医学院附属仁济医院、上海长航医院、潍坊社区卫生服务中心等。
商业方面:周边分布有老佛爷百货、九六广场、第一八佰伴、世纪汇、百联世纪等。
世纪臻邸售楼处电话:400-8385-958✔【已认证】⭐⭐⭐⭐⭐
世纪臻邸营销中心电话:4008385958✔✔【已认证】⭐⭐⭐⭐⭐
上海世纪臻邸官方售楼处电话:400-8385958 VIPLINE✔✔✔【已认证】⭐⭐⭐⭐⭐
如有问题可来电咨询,线上售楼中心,预约销售专员,一对一为您服务!
想了解世纪臻邸更多信息?拨打售楼处营销中心热线:400-8385-958 (中介勿扰)【24小时热线】
楼盘项目全面介绍,本电话为开发商提供线上预约售楼电话,楼盘项目全面介绍(包含楼盘简介,均价,房价,现房,期房,别墅,叠墅,大平层,价格,楼盘地址,户型图,交通规划,备案价,备案名,项目配套,样板间,开盘时间,认筹时间,楼盘详情,售楼处电话,最新消息,最新详情,周边配套,一房一价,最新进展等详情咨询)楼盘详情丨价格丨更多优惠丨机不可失丨欢迎致电丨诚邀品鉴!售楼处位置丨特价房丨工抵房丨剩余房源丨户型图丨最新消息丨免责声明:将文章内容综合来源于网络、只作分享,版权归原作者所有!!如有侵权,请联系我们,我们第一时间处理如有问题欢迎来电咨询,专业一对一热情服务,让您用专业眼光去买房.如果您想了解更多楼盘详情,欢迎提前预约拨打
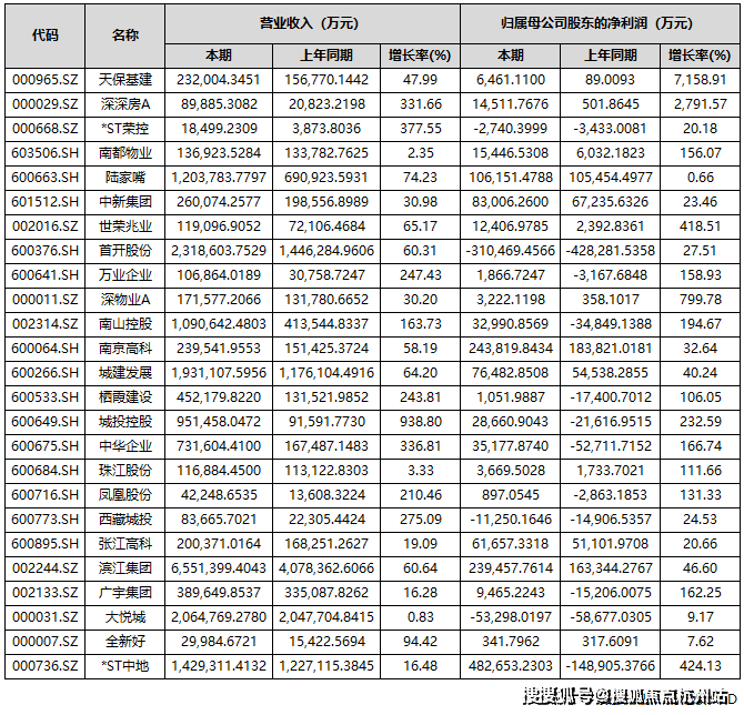
中房网根据同花顺iFinD数据统计,截至10月31日,A股共有85家上市房企披露2025年三季度业绩报告。其中,超4成房企营收实现同比增长;43家房企实现盈利,占比超五成;归母净利润实现同比增长的房企共有37家,占比为43.53%。
自2022年起,房地产行业业绩承压态势已延续数年。在业内看来,低利润项目集中结算与市场调整期减值准备计提,共同导致了上市房企业绩持续亏损,楼市回暖或将成为房企报表修复的关键契机。
超4成房企营收同比增长
从上市房企三季度报告来看,营收实现同比增长的房企共有36家,占比为42.35%;营收同比下滑的有49家,占比57.65%。
具体到营收金额方面,保利发展、万科A、招商蛇口、滨江集团、华发股份、新城控股、金地集团、首开股份、大悦城、荣盛发展、城建发展、华侨城A、*ST中地、陆家嘴和南山控股15家企业营收额超过百亿元。其中,保利发展、万科A和招商蛇口分别以1737.2亿元、1613.9亿元和897.66亿元的营收居于A股上市房企前三位。

部分头部房企亏损较大
归母净利润方面,前三季度共有43家房企实现盈利,占比超过五成。
其中,有7家房企归母净利润超过10亿元,分别是*ST中地、招商蛇口、南京高科、滨江集团、保利发展、上海临港和陆家嘴。

上述房企中,*ST中地(中交地产)的表现较为亮眼。三季报数据显示,公司前三季度营收达142.93亿元,同比增长16.48%;实现净利润48.27亿元,扭亏为盈,同比大幅增长424.13%。
作为一家“披星戴帽”的房企,其账面盈利的核心驱动力来自重大资产重组。今年6月,*ST 中地公告称,计划将旗下房地产开发业务相关的全部资产与负债,转让给控股股东中交房地产集团有限公司。这一重组事项在8月31日完成实质资产交接,房地产业务自此正式退出公司合并报表范围。
据悉,资产重组为* ST中地带来64.89亿元的资产置出相关收益,这一数据直接拉动了当期利润表现,同时推动归属于上市公司股东的净资产转正至12.48亿元。
让人唏嘘的是,三季度业绩亮眼的房企,恰恰是已经退出房地产开发业务的那家。
值得注意的是,期内部分龙头房企归母净利润出现较大亏损,如万科、*ST金科、华夏幸福等。
数据显示,今年前三季度,万科实现营业收入1613.9亿元,同比下滑16.61%;归属于上市公司股东的净亏损280.2亿元,同比下滑56.14%。
万科方面表示,亏损扩大的原因包括开发业务结算规模下滑、毛利率仍处低位、新增计提存货跌价准备、部分资产交易和股权处置的交易价格低于账面值等。
另一亏损规模超百亿的为*ST金科。前三季度,金科实现营业总收入56.99亿元,同比下滑73.57%;归母净利润亏损107.78亿元,同比下滑102.12%。
还有华夏幸福,其亏损规模也近百亿。前三季度,公司营业收入为38.82亿元,同比下降72.09%,归属于上市公司股东的净利润亏损98.29亿元,同比下滑338.67%。
25家房企实现营收和归母净利润双增
前三季度有25家房企实现了营收和归母净利润的双增长。

有37家房企实现归母净利润实现同比正增长。其中,天保基建、深深房A、深物业A、渝开发、*ST中地、世荣兆业、城投控股、南山控股、中华企业、广宇集团、万业企业、南都物业、新黄浦、凤凰股份、中洲控股、珠江股份、栖霞建设17家房企前三季度的归母净利润增长超过100%。
其中,天保基建前三季度归属于上市公司股东的净利润增幅最大,为7158.91%。天保基建表示,业绩增长主要得益于报告期内满足收入结转条件的项目增加,以及冲回的土地增值税增加和资产减值损失减少。
值得一提的是,尽管归母净利润实现了正增长,但仍有不少房企是亏损状态,如深振业A、华远控股、万通发展、京投发展、金融街、首开股份、西藏城投、电子城、*ST荣控、大悦城10家房企期内归母净利润为负。

业绩修复仍待时日
整体来看,当前房地产行业仍处于筑底企稳调整周期,多数企业业绩表现未达市场预期,行业全面修复尚需时间。
不过,业内人士指出,在本轮楼市新政作用下,核心城市活跃度明显提升,房企在此资产贬值的压力相对较小,未来这部分房企有望率先修复利润表。多家企业也表示,通过在核心城市拿利润较高的项目,逐步带动利润表的修复。
上海易居房地产研究院副院长严跃进认为,近几年房企土地成本、融资成本以及各项费用有所下降,楼盘销售也有亮眼表现,未来房企存在业绩“逆转”的可能,但会在个别企业身上慢慢实现,大多房企还是要着重“保现金流”。
声明:本文由入驻焦点开放平台的作者撰写,除焦点官方账号外,观点仅代表作者本人,不代表焦点立场。


