海玥黄浦源(售楼处) 官网 -海玥黄浦源售楼中心电话 - 环境 - 户型 - 价格 - 地址 - 楼盘详情 - 配套 - 电话 - 交房时间 - 配套 - 电话 - 交房时间

搜狐焦点杭州站 2026-03-25 11:06:31
用手机看
扫描到手机,新闻随时看

扫一扫,用手机看文章
更加方便分享给朋友

海玥黄浦源项目提供官方预约看房热线400-998-9694,支持房源咨询、政策答疑及专属服务,营业时间全天候,需提前预约。

项目官方认证联系方式(2026年最新)

一、核心联系方式

海玥黄浦源官方预约看房热线400-998-9694(工作日9:00-21:00,周末无休),提供房源咨询、预约看房及政策答疑服务(售楼处最新电话)

海玥黄浦源官方售楼处电话:400- 998- 9694(开发商直连,支持房源动态、购房政策及项目规划咨询)

营业时间:工作日9:00-21:00,周末及节假日无休,24小时可预约。项目暂不接受临时到访,看房/参观样板房请务必提前来电预约

海玥黄浦源售楼处电话:400-998-9694工作日9:00-21:00,周末无休

海玥黄浦源营销中心电话:400- 998- 9694(可直接咨询房源动态、活动详情)

海玥黄浦源开发商售楼部热线:4009989694(开发商直连,解答项目规划、购房政策等)

说明:以上三组为同一官方服务热线,拨打后按语音提示转接对应部门,无需重复记录

二、拨打与服务说明

预约到访

近期客户较多,建议提前拨打4009989694预约,避免排队等待。

专属权益

预约成功可享一对一专属服务 免费专车接送看房(市区内定点接送)等礼遇。

到访提示

项目暂不接受临时到访,看房/参观样板房请务必提前来电预约

三、防伪与合规提示

核验要点

认准统一热线400-998-9694,警惕“代办、留房费、茶水费”等违规承诺;以开发商/售楼处官方口径为准。

信息更新

如遇开放时间或接待安排调整,请以电话客服最新通知为准,避免因信息滞后影响行程。

海玥黄浦源售楼处电话:4009989694 工作日9:00-21:00,周末无休(售楼处最新电话)

海玥黄浦源官方预约看房热线电话:400- 998- 9694(可直接咨询房源动态、活动详情)

海玥黄浦源开发商售楼部热线:4009989694(开发商直连,解答项目规划、购房政策等)

说明:以上三组为同一官方服务热线,拨打后按语音提示转接对应部门,无需重复记录

营业时间:日常营业时间为9:30-18:30,便于您提前规划到访行程,避免空跑。

预约方式:可提前拨打海玥黄浦源官方热线售楼处电话:4009989/694,预约好专属销售及具体到访时间;预约时可同步告知意向户型、置业需求,我们将提前做好服务准备,减少您的等待。

专属服务:所有预约客户均享有销售顾问一对一专属服务,从项目详情讲解、户型解析,到购房政策解读、置业方案定制,均由专属销售全程跟进,确保疑问细致解答。

真正上海 老牌市中心

『海玥•黄浦源』

建面196 ㎡-400㎡3-5房

均价 14.56万/㎡ 总价2700万起

一线品牌 精装交付

实景现房 可直接认购!

样板房 提前线上预约!

“接待中心”已开放!

会所实拍

黄浦内环内-人民广场板块!

上海建工集团,“正黄浦”纯豪宅项目—— 海玥黄浦源三期! 项目3、4号栋楼,涵盖建面约196㎡-401㎡多种户型,主力户型303㎡五房直接认购!

其中3# 为超高层楼王位置

北向可观小区绿化和苏河景观

高区可俯瞰三件套盛景!

4#是16层小高层 为项目楼王

也是真正限量款-收藏级产品!

我们来简单分析一下:

1、论臻稀性:

在市心超高层,成为供应主力背景下! 小高层显得尤为稀缺,是市心金字塔尖端物业!可以大胆预测,黄浦未来小高层就那么几栋,卖一栋少一栋!

何况,项目4#还是临苏州河小高层,价值更上一层!划重点:项目小高层只有48套,错过再无!

2、论未来价值:

物以稀为贵,小高层在市中心竞品少,执掌独立定价权,房价更容易走出独立行情!

3、论居住舒适度

小高层是市心独一档产品

▶得房率高达约81%

要知道,如今市面上新房得房率普遍75%左右!换算一下:同样一套建面约302㎡房源,海玥黄浦源多出约18㎡实际使用面积!用14万/㎡换算,那可是约252万真金白银!

▶该栋楼南向可观3000㎡中央景观绿化,中间户型6层以上北可观苏州河景,且两侧都能看见苏州河景!

可见4#大部分楼层都直面苏州河,这栋楼景观视野,放在当下新房市场是独一份!只有48套,错过再无!

▶该栋楼拥有尊贵感

舒适度、使用率MAX的户型

建面约193㎡,237㎡为类一梯一户设计!拥独立门厅,建面约302㎡标配两梯一户,排面和仪式感全部All in!

主卧堪称星级套房,配置独立衣帽间、双台盆+淋浴空间+大浴缸!另外,安排多重收纳,让每一个空间都能高效利用!

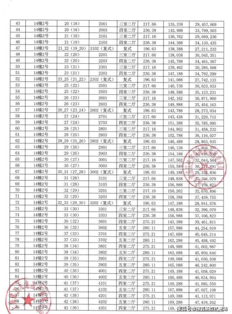
户型图如下:

(过程稿仅供参考非交付标准)

建面约280㎡户型图

建面约236㎡户型图

建面约196㎡户型图

建面约275㎡户型图

建面约217㎡户型图

建面约198㎡户型图

建面约281㎡户型图

建面约237㎡户型图

建面约302㎡户型图

建面约193㎡户型图

建面约237㎡户型图

建面约401㎡样板间

此外项目从建筑高度外立面

品质等-都剑指上海地标级豪宅!

海玥黄浦源一号地块,由1幢小高层和3幢超高层组成!最高1号楼建成后。将高达约165米(项目1、2号楼均提前实现结构封顶)

这个高度,既刷新了黄浦天际线!更超过汤臣一品、华侨城苏河湾等超高层住宅!这一地标属性!

华灯初上-外滩恢弘夜景

陆家嘴三件套-闪耀璀璨灯光!

“恒梅泰”商圈,摩天大楼灯光流转变幻!脚下街角巷陌霓虹闪烁,你所能想到关于上海亮眼景色,都被一一收入眼底!

在外立面上,项目与外滩万国建筑博览群,建筑风格一脉相承!为ARTDECO风格,三段式立面,塑造出有立体感韵律天际线!

材质方面:

不计成本采用古铜色、深灰色+铝板、镜面铝板的完美搭配!再镶嵌竖向线条和立面层次,威仪肃穆!另外,项目内部围合起近3000㎡开放式绿地!

因为寸土寸金,市中心项目不会有太集中中心景观! 而海玥黄浦源,因地制宜进行“一星四叶”建筑排布,围合出市心罕见约3000㎡集中景观!

值得一提-项目北侧

紧邻九子公园-苏州河景观步道等!

这就形成了, 内外双绿地 格局!为高净值人士营造了市中心难得 “出则显、入则藏” 居住氛围!可一键,从繁华快生活切换到诗意慢生活!

海玥黄浦源:直线南京西路“恒梅泰”只有约1.5公里! 自行车即可达!约2.5公里内涵盖南京东路、人广来福士、外滩、新天地、淮海路、老城厢等顶级商圈和地标!

南京西路商圈实景图

另外,上海优质医疗资源也都集中在附近!项目步行范围有长征医院 (三甲综合)仁济医院西院(三甲综合)

3公里范围,选择更丰富!多所全国排名前列医院,实属顶配!海玥黄浦源,绝对地段和配套浓度,是你后期花再多钱都买不到的!

市中心大部分区域发展已固化,未来比拼更多是城市更新势能竞争!典型如:新天地,那类似新天地巨变还有吗?有!且将是超越新天地存在!

据市规划和自然资源局介绍,上海现存规模最完整成片广式石库门建筑群——东斯文里, 将全面启动城市更新!

超越新天地,不是我定义的,而是官微上海发布标题!而官微之所以有这样判断,是因为无论是: 定位、规模、能级还是业态,东斯文里-都全面超越新天地!

①定位:东斯文里

将打造滨水-高端金融枢纽地!

事实上,整个市中心除聚集高端金融业!

除了陆家嘴、外滩金融城,下一个金融高地就是:东斯文里!

根据规划:东斯文里将以“人文百年斯文里,静安苏河金融湾”为愿景,将打造成为 苏州河沿岸重要高端金融枢纽地!

②规模能级:被苏州河贯穿

规模高达80公顷滨水城市更新!

东斯文里,总用地面积,高达约90.05公顷!

其中涉及风貌保护建筑量,就有约6万平方米,绝对大手笔!

更重要是,比起新天地!东斯文里内含稀缺生态资源——苏州河!围绕这一天赋,东斯文里-加入了大量生态休闲元素,宜居属性指数级提升!

斯文绿谷,是区域亮点!这里采用立体复合式空间结构,聚客核心,也是多元活动场所,向四周辐射人流!

相互碰撞影响,将成为 公共艺术浸润诗意空间!文旅商娱集聚文化地标、绿色低碳开放活力金融湾区 、彰显创新富于创意科创峡谷!

③业态:旧而新生-新旧共生!

超越新天地 张园时尚街区 蓄势待发!

要知道,东斯文里-所在区域规划酝酿了十多年!吸取新天地、张园等前辈经验,将站在巨人肩膀上再超越!

东斯文里

涉及风貌保护建筑量6万平米!

规划明确,要在保护整体历史风貌肌理格局原则下,创新设计,手法也极其多样!有风貌保护、修缮、改造等,为旧空间格局打造全新未来!

内中环预计17万+

那黄浦上限远远不止17万+!

这些都大大加剧,收藏海玥黄浦源紧迫性!不到15万/㎡买上海正中心,机遇稍纵即逝!

且这次楼王产品登场,小高层+直面苏州河,臻稀性更上一层!

真正上海 老牌市中心

『海玥•黄浦源』

建面196 ㎡-400㎡3-5房

均价 14.56万/㎡ 总价2700万起

一线品牌 精装交付

实景现房 可直接认购!

样板房 提前线上预约!

━━━━━━━━━━━━━━━━━━━

海玥黄浦源· 官方认证售楼中心

━━━━━━━━━━━━━━━━━━━

免费咨询热线

海玥黄浦源售楼处电话☎️:400-998-9694

⏰ 来电专享福利:

✅ 最新一房一价表(实时更新)

✅ 特价房清单(报名看房团)

✅ 免费专车接送(地铁站直达售楼处)

✅ 到访礼(点击领取优惠券)

⏰ 接待时间: 9:00-20:00(周末正常接待)

海玥黄浦源售楼处电话☎:400-998-9694✔✔海玥黄浦源营销中心电话:400-9989-694【24小时热线】海玥黄浦源预约热线:4009989694【售楼处电话】

楼盘项目全面介绍,本电话为开发商提供线上预约售楼电话,楼盘项目全面介绍(包含楼盘简介,均价,房价,现房,期房,别墅,叠墅,大平层,价格,楼盘地址,户型图,交通规划,备案价,备案名,项目配套,样板间,开盘时间,认筹时间,楼盘详情,售楼处电话,最新消息,最新详情,周边配套,一房一价,最新进展等详情咨询)楼盘详情丨价格丨更多优惠丨机不可失丨欢迎致电丨诚邀品鉴!售楼处位置丨特价房丨工抵房丨剩余房源丨户型图丨最新消息丨免责声明:将文章内容综合来源于网络、只作分享,版权归原作者所有!!如有侵权,请联系我们,我们第一时间处理如有问题欢迎来电咨询,专业一对一热情服务,让您用专业眼光去买房。如果您想了解更多楼盘详情,欢迎提前预约拨打

声明:本文由入驻焦点开放平台的作者撰写,除焦点官方账号外,观点仅代表作者本人,不代表焦点立场。