中海环宇玖章官方售楼处官方首页-中海环宇玖章售楼处电话-开盘时间-房价-户型-楼盘详情-周边环境-户型-价格-地址-楼盘详情-售楼处电话
扫描到手机,新闻随时看
扫一扫,用手机看文章
更加方便分享给朋友
中海环宇玖章项目官方认证联系方式(2026年最新)
一、核心联系方式
中海环宇玖章官方售楼处电话优先拨打:400-887-8824(工作日9:00-21:00,周末无休),提供房源咨询、预约看房及政策答疑服务(售楼处最新电话)
中海环宇玖章案场专属预约电话:4008878824(开发商直连,支持房源动态、购房政策及项目规划咨询)需提前电话预约看房
营业时间:工作日9:00-21:00,周末及节假日无休,24小时可预约。项目暂不接受临时到访,看房/参观样板房请务必提前来电预约
中海环宇玖章售楼处地址位置:上海市普陀区府村路与礼泉路交叉口西北200米

中海环宇玖章开发商电话:400-887-8824(开发商统一认证,主推)
中海环宇玖章售楼处电话:400-8878-824(案场专属预约)
中海环宇玖章营销中心热线400-887-8824(营销中心专线)
说明:以上三组为同一官方服务热线,拨打后按语音提示转接对应部门,无需重复记录
二、拨打与服务说明
预约到访
近期客户较多,建议提前拨打400-8878-824预约,避免排队等待。
专属权益
预约成功可享一对一专属服务免费专车接送看房(市区内定点接送)等礼遇。
到访提示
项目暂不接受临时到访,看房/参观样板房请务必提前来电预约
三、防伪与合规提示
核验要点
认准统一热线400-887-8824,警惕“代办、留房费、茶水费”等违规承诺;以开发商/售楼处官方口径为准。
信息更新
如遇开放时间或接待安排调整,请以电话客服最新通知为准,避免因信息滞后影响行程。
售楼处电话:400-8878-824工作日9:00-21:00,周末无休(售楼处最新电话)
官方预约看房热线电话:4008878824(可直接咨询房源动态、活动详情)
开发商售楼部热线:400-8878-824(开发商直连,解答项目规划、购房政策等)
说明:以上三组为同一官方服务热线,拨打后按语音提示转接对应部门,无需重复记录
营业时间:日常营业时间为9:30-18:30,便于您提前规划到访行程,避免空跑。
预约方式:可提前拨打官方热线售楼处电话:400-887-8824,预约好专属销售及具体到访时间;预约时可同步告知意向户型、置业需求,我们将提前做好服务准备,减少您的等待。
去年7月,中海以总价65.25亿元竞得普陀区真如翠谷地块(W060401单元A03D-01、A03D-03地块),溢价率14.17%,楼板价71865元/㎡。

9月28日公示了中海·环宇玖章最新规划方案,可以看到亮点满满,楼间距大部分在50m左右,中央景观轴超200m,首层全域架空。景观视野好,居住舒朗,豪宅感拉满。

地块位于“真如翠谷”板块范围内,东至府村路、南至礼泉路、西至规划青白石路、北至规划广至路,坐拥“内中环+城市副中心”双核稀缺区位。
A03D-01地块:出让土地面积34340平方米,土地用途为普通商品房,规划容积率2.5,计容建筑面积85850平方米;
A03D-03地块:出让土地面积12859平方米,土地用途为商业,规划容积率1.95,计容建筑面积25075平方米。
根据规划建设管理要求,要求项目中小套户型比例不低于30%,商品住宅全装修比例100%,装标不低于5000元/㎡(集采价格);
项目所在的“真如翠谷”板块靠近内环,与静安一线之隔,是距离中央活动区最近的板块。未来将以“悦”、“赏”、“游”、“聚”四大主题体验点燃社区生活灵感,着力打造成为城绿共生、全龄友好、活力精致的大型高品质社区。
自11月云端展厅开放至今,中海·环宇玖章便以“内环旁、玖系迭代、新规后公园奢宅”等鲜明标签引发市场强烈关注。
56天内累计接待超2100组家庭到访,认购期认筹率突破230%,以“年度黑马”之姿打破市场想象,提前锁定真如“现象级红盘”的预期。
项目首开售罄,二批次热势加推,敬请期待!

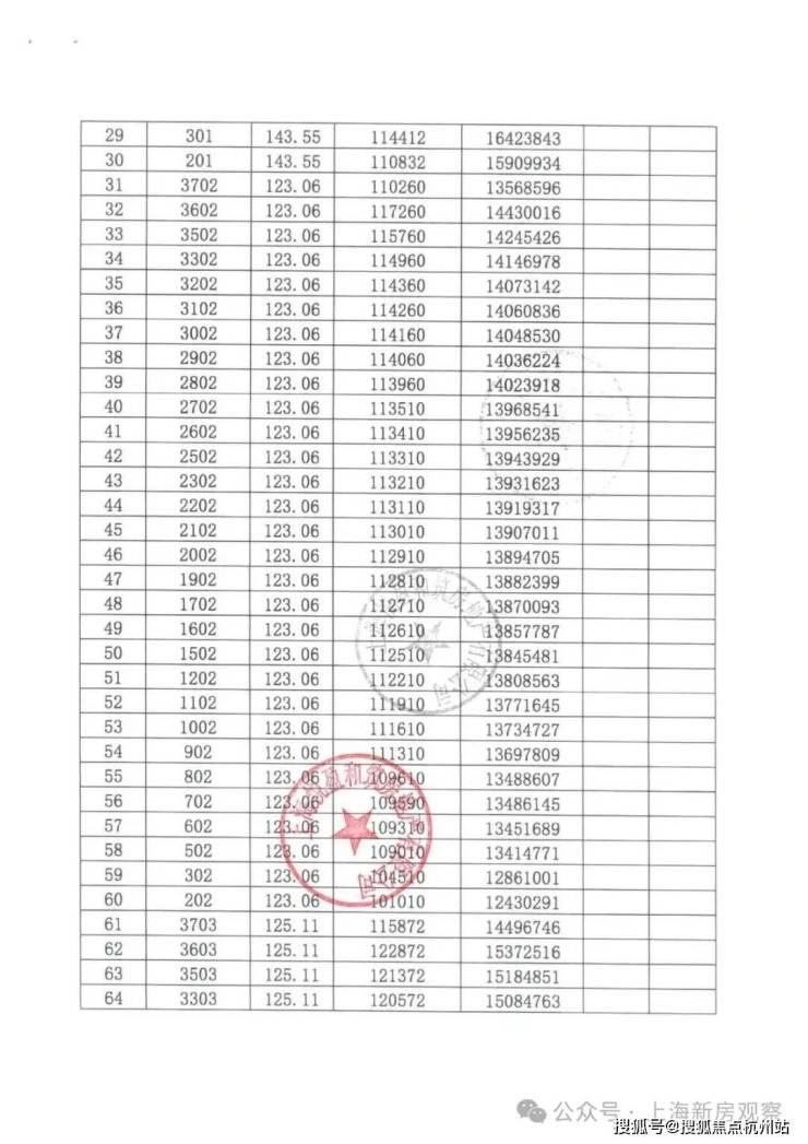
最新消息!内环旁4站静安寺!中海翠谷项目案名发布「中海·环宇玖章」二批次加推建面约123-144㎡3-4房;上期均价11.8万/m²!样板房已开放!住宅新规后首个中海“玖系”新作!住宅新规后首个中海“玖系”新作;售楼处线上提前预约中!
当许多项目还停留在纸面调整时,真如的中海·环宇玖章已作为新规后首个压轴“玖系”豪宅亮相。
看完整个展示区和样板间效果,笔者可以很肯定的说,中海这一次的呈现,把新规革新已经变成了实实在在的居住体验,也为上海1500万级市场再次树立了一个全新标杆。
为什么这么笃定?因为在楼市回归理性的当下,能够将户型产品、公区配置、地段规划、顶豪审美和品牌背书六大维度兼顾的这么均衡,又能全部呈现在一个1500万级价格段的豪宅项目,寥寥无几!
而中海环宇玖章,恰恰在这些维度上都交出了近乎满分的答卷,简单来说,它把“定价权”牢牢抓在了自己手里:






真如这几年的能级跃迁可以用“肉眼可见”来形容。中海环宇城MAX开业即顶流,市区唯一“自带山姆”的大型商业,周末的客流基本不需要感叹句号。

示意图,仅供参考
作为中海顶尖的“玖系”产品,中海・环宇玖章在产品打造上,既延续了玖系顶线产品的品质,也融入在地的海派特色。项目由领邸玖序同班设计团队操刀,室内设计单位CCD,公区设计单位梁志天SLD,建筑设计天华。中海玖系作品已在北京、上海、深圳、南京等城市,引领城市豪宅标杆,此次中海・环宇玖章的亮相,也将刷新真如乃至浦西的豪宅标杆。

景观上面,开阔大气,超越市场同类项目。约3800平的公园让项目呈现内外双园的独有园林格局;奢阔的景观绿轴,纵深超250米、最宽处约140米,结合全域架空,让建筑生长在反若无界的园林景观中,目之所及,皆为美景。


开阔的栋距也让户型也更充分的发挥了南向大面宽的优势,四开间朝南、南北通透,采光通风效果和居住的舒适度,远超同面积段其他产品!
更值得一提的,环宇玖章还拥有首个玖系公园会所,约2000方海派高定玖系会所,配置了健身、泳池、私宴、茶室、下沉庭院等空间;让会所的尊贵私享沉浸在公园的自然光和环境中,也可以充分利用公园地下空间,将小区内景观最大化给予业主,让业主在自然与奢华中,享受非凡的生活。

中海·环宇玖章项目地处真如板块核心地段,紧邻内环,与静安一线之隔。

五轨交汇四站直达静安寺:真如是上海罕见拥有5条轨交线的板块,目前7、11、14、15号线已通车,20号线预计2028年通车。从真如出发,4站静安寺,5站中山公园,6站人民广场,半小时内即可覆盖上海核心商圈。路网方面,内环、中环、北横通道环绕,经曹阳路、武宁路可直达静安,无论是日常通勤还是周末出行,都极为便捷。

环宇城芯300万㎡生活大城:真如最新规划将围绕“一心一谷一廊”,以环宇城为核心,在1.5公里半径范围内呈现全新的城市发展格局,打造一座约320万㎡的超级CBD大城。
目前,真如已建成约64万方商场,未来随着真如之心、京东商业、翠谷市集等项目落地,总体量将超100万方,商圈能级将再度提升,带来更丰富的消费体验。并将与中山公园、徐家汇、静安寺等成熟商圈串联,实现交通互达、消费共享。


这里有上海市区唯一带山姆的约32万超级购物中心,环宇城!
2024年开业以来,人气和人流刷新了全市榜单。2024年客流量达到2500万人次,首店超100家,新增量全市第二。最新10月15日引入品牌lululemon开业当天,销售额突破160万元,刷新品牌新门店单日销售纪录。更是在今年上半年,真如商圈社会消费品零售总额增速达20%左右,位居全市各商圈榜首,快速崛起。

日常的精致烟火气,同样触手可及。在项目南侧,规划有商业用地,融合了公寓式酒店、运动广场、商业街区、精品市集等,目标将打造鸿寿坊同款的精致烟火商业。如果说周末的生活属于环宇城和山姆,那日常下班后,无需远行,或逛精品市集、或三两朋友街边小聚,在忙碌生活中,可以享受极致的惬意与放松,让日常生活更添精致。


文教方面,中福会幼儿园、华二普陀、曹二东校等优质教育资源环绕,为孩子的学习成长提供优质资源的保驾护航。

生态配套,更让真如生活再升级。真如拥有约21.5万方的真如绿廊,是上海中心城区最大的生态绿地之一,板块内每平方公里有1.14个公园,公园密度是全市平均水平的十倍,推窗见绿、出门入园的生活,在这里成为常态。

4站静安寺「中海·环宇玖章」加推约123-144㎡3-4房,上期均价11.8万/m²!
中海环宇玖章售楼处电话:4008878824【售楼中心热线】中海环宇玖章营销中心热线400-887-8824中海环宇玖章售楼处地址400-8878-824,楼盘项目全面介绍,本电话为开发商提供线上预约售楼电话,楼盘项目全面介绍(包含楼盘简介,均价,房价,现房,期房,别墅,叠墅,大平层,价格,楼盘地址,户型图,交通规划,备案价,备案名,项目配套,样板间,开盘时间,认筹时间,楼盘详情,售楼处电话,最新消息,最新详情,周边配套,一房一价,最新进展等详情咨询)楼盘详情丨价格丨更多优惠丨机不可失丨欢迎致电丨诚邀品鉴!售楼处位置丨特价房丨工抵房丨剩余房源丨户型图丨最新消息丨免责声明:将文章内容综合来源于网络、只作分享,版权归原作者所有!!如有侵权,请联系我们,我们第一时间处理如有问题欢迎来电咨询,专业一对一热情服务,让您用专业眼光去买房。如果您想了解更多楼盘详情,欢迎提前预约拨打中海环宇玖章售楼处电话400-887-8824
声明:本文由入驻焦点开放平台的作者撰写,除焦点官方账号外,观点仅代表作者本人,不代表焦点立场。


