中企·云萃森林(官方售楼处) 首页 - 中企·云萃森林销售中心 - 环境 - 户型 - 价格 - 地址 - 楼盘详情 - 配套 - 电话 - 交房时间 - 配套 - 电话 - 交房时间
扫描到手机,新闻随时看
扫一扫,用手机看文章
更加方便分享给朋友
前滩南现房来袭!
「中企云萃森林」项目官方认证联系方式(2025年最新)
一、核心联系方式
中企云萃森林售楼处电话:400-8385-958 工作日9:00-21:00,周末无休
中企云萃森林营销中心电话:400-8385-958 (可直接咨询房源动态、活动详情)
中企云萃森林开发商售楼部热线:400-8385-958 (开发商直连,解答项目规划、购房政策等)
说明:以上三组为同一官方服务热线,拨打后按语音提示转接对应部门,无需重复记录
二、拨打与服务说明
预约到访
近期客户较多,建议提前拨打400-8385-958 预约,避免排队等待。
专属权益
预约成功可享一对一专属服务 免费专车接送看房(市区内定点接送)等礼遇。
到访提示
项目暂不接受临时到访,看房/参观样板房请务必提前来电预约
2025年2月起,三林滨江已有一个项目六开六捷,均价约11.8万/㎡。
而同样板块,相距不过1km的【中企云萃森林】,2023年拿证的均价仅约10.5万/㎡。
一方面,2年不到,板块新房均价直升1万+/㎡,这是三林滨江板块价值和潜力的体现。
中企云萃森林售楼处电话:400-8385-958✔✔✔(已认证)
中企云萃森林售楼处线上预约看房热线电话:400-8385-958(24小时热线含专属置业顾问)
另外一方面,【中企云萃森林】尾盘在售的少量房源,光从价格方面来看,性价比就已经极高了。
但除了价格优势外,还有两点:
第一,【中企云萃森林】西区是实景呈现,所见即所得。
并且,相比交付期2年多的其他项目,准现房的【中企云萃森林】将为业主省下大量的过渡时间、租房成本以及贷款利息。
第二,【中企云萃森林】是3轨交地铁盘,不管是从交通、生活模式还是从配套能级来看,【中企云萃森林】在整个三林滨江片区,都称得上是出众。
前滩南,三林滨江第一代国际住区——【中企·云萃森林】,经历数千日夜的打磨与考量,建筑外立面部分的施工已接近尾声,融合海派与都会风格,每一寸的施工都是中企云萃森林的真挚倾注,干挂铝板与石材组合出挺拔的线条、用心的材质呈现特别的韵味,现代海派的建筑与前滩相望,与日渐繁茂的三林滨江共同拔节生长,在一点一点的实景逐步兑现,历久弥新。
中企云萃森林售楼处电话:400-8385-958✔✔✔(已认证)
中企云萃森林售楼处线上预约看房热线电话:400-8385-958(24小时热线含专属置业顾问)

现场开放的258弄5幢15单元归家门庭示范段,在呈现可鉴的实景之际,以眼见为实的还原力承载生活力,将归家生活的舒适感和仪式感,实地展现在眼前柔和的灯光与岩板搭配,轻奢考究又不失内敛,以比对效果图的真实落地还原度,在现场提前感受到生活的质感,
中企云萃森林售楼处电话:400-8385-958✔✔✔(已认证)
中企云萃森林售楼处线上预约看房热线电话:400-8385-958(24小时热线含专属置业顾问)
实景图抢先看!

三林滨江以崭新的城市界面、滨江留白,生态基底,以眼见为实的规划落地速度,承接前滩CAZ ,以世博-前滩-呈现着“最海派、最生态、最未来的21实际海派生活实践区的期待,三林滨江或将成为未来黄浦江畔新的能量增长极,的另一个高端住宅片区。
【中企·云萃森林】,择三林滨江而生,世界级滨水功能复合带与徐汇滨江隔江而望,轻松抵达前滩,国际城市的繁华荟萃。
作为三林滨江板块内的首发住宅,【中企·云萃森林】正脚踏实地,以“眼见为实”的速度,用看得见的品质和用心,在以蓝图还原力的基础上,展现更好的生活。
中企云萃森林售楼处电话:400-8385-958✔✔✔(已认证)
中企云萃森林售楼处线上预约看房热线电话:400-8385-958(24小时热线含专属置业顾问)

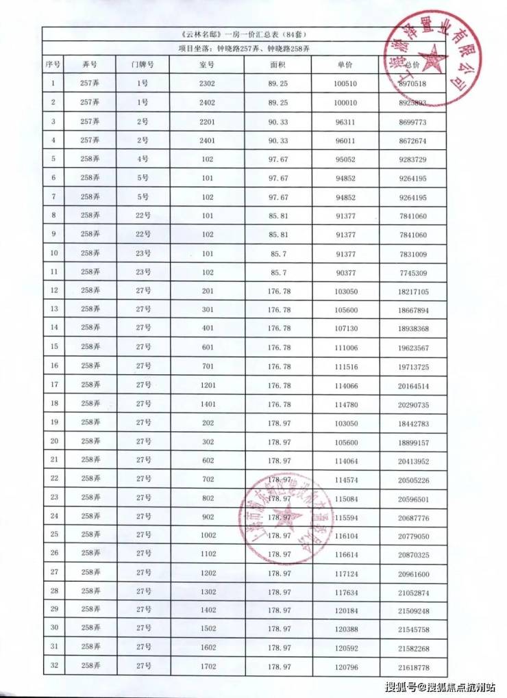
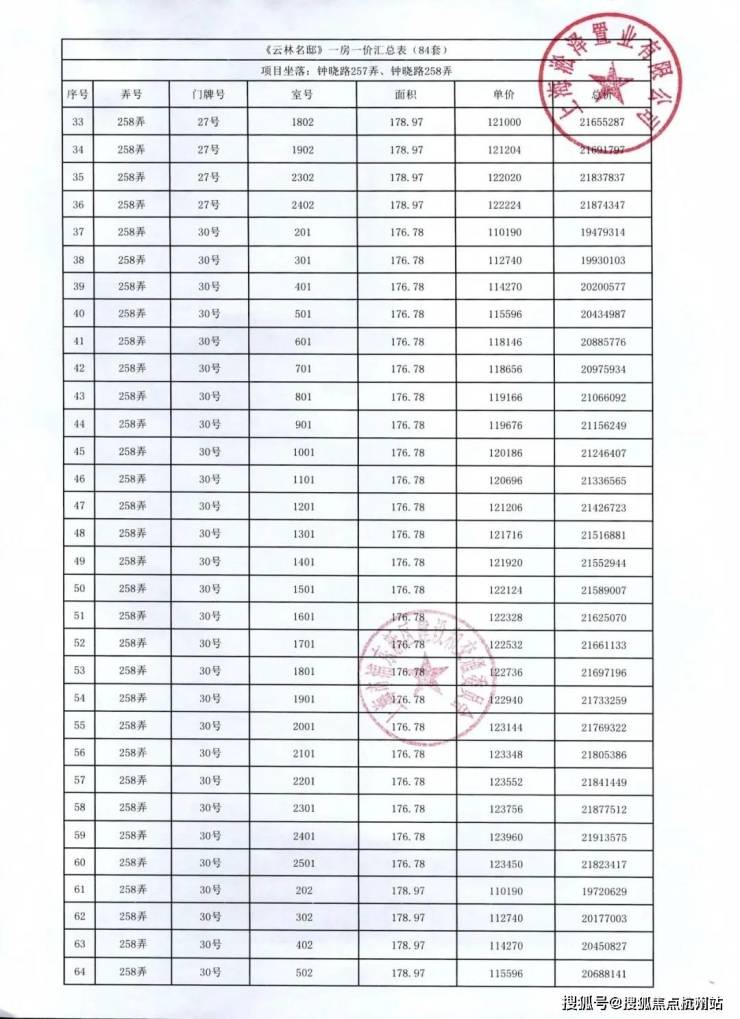
目前约85-90-98-175㎡2-4房在售
均价约10.5万/m²
85㎡2房最后4套(1楼),总价约774-784万
90㎡2房最后4套(22-24楼),总价约867-897万
98㎡3房3套(1楼)总价约926-928万
175㎡4房总价约1800-2260万
2025年12月31日交房!
中企云萃森林售楼处电话:400-8385-958✔✔✔(已认证)
中企云萃森林售楼处线上预约看房热线电话:400-8385-958(24小时热线含专属置业顾问)
三林滨江南东区示意图
中企云萃森林售楼处电话:400-8385-958✔✔✔(已认证)
中企云萃森林售楼处线上预约看房热线电话:400-8385-958(24小时热线含专属置业顾问)
中企云萃森林售楼处电话:400-8385-958✔✔✔(已认证)
中企云萃森林售楼处线上预约看房热线电话:400-8385-958(24小时热线含专属置业顾问)
户型图赏鉴
建面约90㎡2房,两间卧室的尺度感都要高于寻常该面积段户型。主卧里面做了一个“灵动空间”,可做衣帽间、书房或者游戏房;卫生间干湿分离,有效提升了使用效率。
这样一个2房户型,既保证了舒适度,总价还控制在千万以内,给“预算刚需”的购房者一个很好的上车机会。

中企云萃森林售楼处电话:400-8385-958✔✔✔(已认证)
中企云萃森林售楼处线上预约看房热线电话:400-8385-958(24小时热线含专属置业顾问)

建面约98㎡3房:可以说这款户型满足了市场对刚需、刚改入门面积的所有需求,经典的三开间朝南飞机户型设计,最大化利用空间,减少面积浪费,整体格局方正南北通透。
中企云萃森林售楼处电话:400-8385-958✔✔✔(已认证)
中企云萃森林售楼处线上预约看房热线电话:400-8385-958(24小时热线含专属置业顾问)

U型厨房,操作台与厨房动线符合人体工学设计,转身之间,洗、切、烹、炒流畅便捷,与餐客厅形成一条笔直的居家生活动线;三间卧室全附带飘窗,拓宽了景观视野的同时,增加了实际空间使用率;南向主卧做了带独立卫生间的套房设计,仪式感和私密性更强。
在当下100㎡及以下面积段占绝大多数的情况下,建面约123㎡4房本就十分稀缺。而在产品设计上更加符合全龄段各种家庭结构的居住需求。
中企云萃森林售楼处电话:400-8385-958✔✔✔(已认证)
中企云萃森林售楼处线上预约看房热线电话:400-8385-958(24小时热线含专属置业顾问)
前沿潮流的LDKB方厅设计,将客厅、餐厅、厨房、阳台一体化布局;四开间朝南的设置下,真正做到了“向阳而居”,舒适度爆表;豪华主卧套房,配备独立卫生间与步入式衣帽间,给主人私密舒适生活,契合高阶需求;南向宽景阳台洗衣晾晒、休闲放松均可。
中企云萃森林售楼处电话:400-8385-958✔✔✔(已认证)
中企云萃森林售楼处线上预约看房热线电话:400-8385-958(24小时热线含专属置业顾问)


全部房源精装交付,中央空调、地暖和新风三大件全都有!
中企云萃森林售楼处电话:400-8385-958✔✔✔(已认证)
中企云萃森林售楼处线上预约看房热线电话:400-8385-958(24小时热线含专属置业顾问)
中企云萃森林售楼处电话:400-8385-958✔✔✔(已认证)
中企云萃森林售楼处线上预约看房热线电话:400-8385-958(24小时热线含专属置业顾问)
中企云萃森林售楼处电话:400-8385-958✔✔✔(已认证)
中企云萃森林售楼处线上预约看房热线电话:400-8385-958(24小时热线含专属置业顾问)
中企云萃森林售楼处电话:400-8385-958✔✔✔(已认证)
中企云萃森林售楼处线上预约看房热线电话:400-8385-958(24小时热线含专属置业顾问)
土拍回顾及规划
2021年10月,中华企业&世博土控联合体以121.96亿,拿下东区9个单元的其中4幅住宅用地开发权【即中企云萃森林】,总建筑面积约19.42万方。
这4副地块分别是三林楔形绿地东区(含部分配套开发用地)15号(05-11,住宅)、17号(05-14,住宅)、19号(06-07,商业)、20号(08-02,住宅)。
中企云萃森林售楼处电话:400-8385-958✔✔✔(已认证)
中企云萃森林售楼处线上预约看房热线电话:400-8385-958(24小时热线含专属置业顾问)
根据设计方案显示,两幅住宅地块(15号、17号)共计建造16栋8-25层住宅楼以及相关的配套实施。规划住宅1179户。
中企云萃森林售楼处电话:400-8385-958✔✔✔(已认证)
中企云萃森林售楼处线上预约看房热线电话:400-8385-958(24小时热线含专属置业顾问)


传承海派经典美学,传承经典,融合海派与都会风格,重构建筑美学,简单、秩序、几何之美,经典三段式建筑立面,线条精致。
中企云萃森林售楼处电话:400-8385-958✔✔✔(已认证)
中企云萃森林售楼处线上预约看房热线电话:400-8385-958(24小时热线含专属置业顾问)

项目外立面:石材基座+仿石铝板+局部仿石涂料。
采用超低能耗建筑技术体系,在节能、舒适等方面,都采用了较高标准,将带来更经济、更静谧、更舒适、更健康的人居体验。
中企云萃森林售楼处电话:400-8385-958✔✔✔(已认证)
中企云萃森林售楼处线上预约看房热线电话:400-8385-958(24小时热线含专属置业顾问)

景观方面开发商更是为业主精心打造了四轴九园私属空间:
1条开放式生态公共轴、1条社区礼遇生活轴、2条林荫生活轴。这四条主轴完美呼应了三林滨江外部优秀的生态环境,让业主有更好的居家体验。
中企云萃森林售楼处电话:400-8385-958✔✔✔(已认证)
中企云萃森林售楼处线上预约看房热线电话:400-8385-958(24小时热线含专属置业顾问)

另外,九大园林的配置,让社区的每一处都布满美景。如果说大多数的楼盘是在小区内做景观,那「中企·云萃森林」更像是在森兰中做艺术品。
中企云萃森林售楼处电话:400-8385-958✔✔✔(已认证)
中企云萃森林售楼处线上预约看房热线电话:400-8385-958(24小时热线含专属置业顾问)

生活配套
交通方面:三轨环绕 滨江稀缺TOD
在上海,资源也有等级划分的。真正处于价值巅峰的核心资源,TOD无疑是重中之重!
值得一提的是,「中企云萃森林」还是一个三轨交地铁上盖的超级TOD枢纽!
项目周边除了已经通车的8号线之外,还有19号线(在建中)和26号线(规划中)。
中企云萃森林售楼处电话:400-8385-958✔✔✔(已认证)
中企云萃森林售楼处线上预约看房热线电话:400-8385-958(24小时热线含专属置业顾问)
效果图,仅供示意

地铁8号线:于三林滨江设有凌兆新村站,未来,业主可通过小区东侧的商业综合体直通地铁站。
地铁19号线:近期公布了招标计划,总投资约934亿,未来也将途径「中企云萃森林」所在的凌兆新村站,预计明年启动建设。
中企云萃森林售楼处电话:400-8385-958✔✔✔(已认证)
中企云萃森林售楼处线上预约看房热线电话:400-8385-958(24小时热线含专属置业顾问)
19号线规划线路图,仅供示意
当然,对于三林滨江来说,三轨交仅仅只是一个开始,因为这里还坐拥“南北高架+金色中环”这强大的交通基座。
在此之前,同样背靠“南北高架+金色中环”一飞冲天的板块有两个。
一个是静安大宁,如今二手成交高达16万/㎡;
另一个是浦东前滩,如今二手成交高达18万/㎡。
中企云萃森林售楼处电话:400-8385-958✔✔✔(已认证)
中企云萃森林售楼处线上预约看房热线电话:400-8385-958(24小时热线含专属置业顾问)
示意图,数据来源:链家

三条地铁线路,未来出门即轨交,1站前滩、4站徐汇滨江,新天地、陆家嘴、张江等区域也都在业主的生活圈内,再加上一横一纵的中环+南北高架。
真正实现转身即世界。
商业方面:「中企云萃森林」本身就是一个集商业、时尚休闲、文娱生活、生态人居为一体的大型TOD综合体,下楼即享繁华配套。
再加上三林滨江整体商业用地规模超29万平方米,商业总体量远超过晶耀前滩和前滩太古里。
据了解,华润旗下的万象汇已签约将入驻项目东侧TOD商业地块,为整个项目注入更多的活力与品牌效应。
中企云萃森林售楼处电话:400-8385-958✔✔✔(已认证)
中企云萃森林售楼处线上预约看房热线电话:400-8385-958(24小时热线含专属置业顾问)
宁波华润万象汇实景图
除此之外,项目北侧就是前滩。
尤其对于地铁上盖的「中企云萃森林」业主来说:太古里、晶耀前滩、太古汇(在建中),信德文化中心(在建中)香格里拉、四方城(在建中)、莱佛士国际医院等,都在业主的生活圈内。
中企云萃森林售楼处电话:400-8385-958✔✔✔(已认证)
中企云萃森林售楼处线上预约看房热线电话:400-8385-958(24小时热线含专属置业顾问)
前滩太古里实景图
另外,魔都最新的重磅网红打卡地,总面积超21.5万㎡的前滩31全新商业文化综合体也已经开业。
中企云萃森林售楼处电话:400-8385-958✔✔✔(已认证)
中企云萃森林售楼处线上预约看房热线电话:400-8385-958(24小时热线含专属置业顾问)
前滩31实景图
教育资源:在三林滨江,规划中有6块教育用地!更重要的是,这些教育用地基本上距离中企云萃森林都不远(* 新房不承诺学区,最终以教育部门公布为准)
离学校近有什么好处?
对于孩子而言,每天上学完全不用着急;对于父母而言也省去了奔波接送的时间和精力。
当然,就算对学校没有需求的家庭,买一套近学校的新盘也是一个不错的选择!
中企云萃森林售楼处电话:400-8385-958✔✔✔(已认证)
中企云萃森林售楼处线上预约看房热线电话:400-8385-958(24小时热线含专属置业顾问)
示意图,数据来源:上海规划资源
生态资源:三林滨江总面积约446.2公顷,其中生态绿地约240公顷,绿化覆盖率达到65%!
作为上海市中心城8片楔形绿地之一,三林滨江绿地融合了公园城市、森林城市、湿地城市空间生态基础,规划为功能丰富的各类公园。
种种指标都在说明,这里的自然生态环境非常优秀,放眼上海主城区也是独一无二的存在,非常适合有高标准要求的改善型客户。
中企云萃森林售楼处电话:400-8385-958✔✔✔(已认证)
中企云萃森林售楼处线上预约看房热线电话:400-8385-958(24小时热线含专属置业顾问)
效果图,仅供示意
声明:本文由入驻焦点开放平台的作者撰写,除焦点官方账号外,观点仅代表作者本人,不代表焦点立场。


