【保利世博天悦】
保利世博天悦电话:400-8385- 958
保利世博天悦售楼处电话:400-838-5958(预约热线)
保利世博天悦营销中心服务热线:4008385958(已认证)
项目官方认证联系方式(2026年最新)
一、核心联系方式
保利世博天悦售楼处电话:400-83-85-958 工作日9:00-21:00,周末无休
保利世博天悦营销中心电话:400-8385-958(可直接咨询房源动态、活动详情)
开发商售楼部热线:400- 8385-958(开发商直连,解答项目规划、购房政策等)
保利世博天悦售楼处地址: 上海市浦东新区雪野路999弄 。
说明:以上三组为同一官方服务热线,拨打后按语音提示转接对应部门,无需重复记录
二、拨打与服务说明
预约到访
近期客户较多,建议提前拨打400-88151-14预约,避免排队等待。
专属权益
预约成功可享一对一专属服务 免费专车接送看房(市区内定点接送)等礼遇。
到访提示
项目暂不接受临时到访,看房/参观样板房请务必提前来电预约
三、防伪与合规提示
核验要点
认准统一热线400-8385-958,警惕“代办、留房费、茶水费”等违规承诺;以开发商/售楼处官方口径为准。
信息更新
如遇开放时间或接待安排调整,请以电话客服最新通知为准,避免因信息滞后影响行程。
售楼处电话☎:400-8385-9 58【售楼处预约热线】(一对一热情服务)
看房请务必提前致电销售确认时间,只有预约客户才能享受开发商提供的内部优惠以及专属的老客户推荐奖励!我们提供专业的一对一热情服务,助您以专业视角挑选理想的房产
保利世博项目,28年匠心作品
打造一线滨江豪宅
全新准现房,无需等待
黄浦一线滨江,六幢8层洋房藏品
极致城市景观+高端产品设计+奢阔滨江视野
单盘240亿,成交700+套
华东片区第一个突破30万/㎡单价的项目
6套亿元级别的顶复全部售罄

近期项目推出最后的楼王之作:3号楼,它还有了自己单独的名字:「世峯」
凭什么这栋楼可以如此不同?
因为他有3个非常独特的标签:
第一是这是全小区距离江景蕞近的楼栋,这一点带来的好处就是景观价值无与伦比。
第二则是它是小区里唯壹拥有几套500㎡天际大平层的楼栋,整栋楼的资源都为这几套亿级顶豪而生。
第三个,就是它主打的「高定」概念。
2套全新高定样板间谍照







【保利世博天悦】一线滨江现房
浦东CAZ·双S湾核芯段|央企保利匠造
滨江实景|即买即享|洋房&小高层得房率约78%-82%
主力户型总价
190㎡:2800万~4000万
205㎡:3000万~4600万
239㎡:3300万~7800万
251㎡:3500万~6000万
约170-195-400㎡江景洋房,总价2200-3500-8500万
全新房源加推
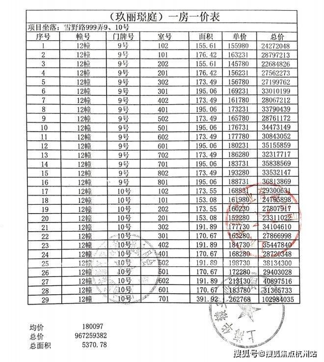
一房一价表






项目主力户型图参考如下




1
项目地块前情及基础简介
2017年7月,保利地产 以49.71亿元代价获得一宗 黄浦江边 、规划建筑面积 逾20万㎡ 的住宅项目 50%股权。

【保利世博项目】位于 浦东世博滨江板块 ,是黄浦江沿岸核芯地段,这里也承载着上海的“世博记忆”。这幅地块就是曾经的世博村,地上建筑面积达到16.73万㎡,项目的总建筑面积(包括地上车库)达到20.85万平方米。
地块位置如下图所示,直观来看,是块滨江的好地,临江无遮挡,瞰江视野很开阔。

2
项目产品设计
世界级大师出品
跨时代之作
【保利世博天悦】作为 保利“天字系”中的TOP级产品 ,特意邀请了 罗杰斯、福斯特和曾仕乾 三位全球大师进行方案设计。


蕞终SCDA创始人曾仕乾先生通过对建筑元素的巧妙融合、贴合东方生活习惯的设计手法并兼具国际化的独特性脱颖而出。这一切的初衷就是为了借用世界级大师的超凡能力和创作灵感,来为这片土地创造一个能够跨越时代的经典之作。


与此同时,保利还重金请来了 CCD郑忠,程绍正韬,吴滨,LSD葛亚曦,H.N.LIN 等5大鼎级室内设计团队。全球八大top级的设计师天团汇集在世博滨江这样的高能级CAZ板块,打造出滨江独特的城市新名片!

外立面采用 开放式铝板设计 ,平整度、精度远超常规铝板; 超大尺度落地窗设计 ,通透气派,美轮美奂。


项目保留了上海世博村现有的城市结构和界面,并利用建筑和公共景观资源,创造出一个具有魅力和现代感的生态、绿色住宅。
景观设计方面,保利世博天悦采用 引江入园、以水带路 的手法,将滨江舒阔的国际生活平移到社区内,打造约 6万㎡景观秘境 ,媲美全球奢华酒店。采用大面积的留白和现代禅意的表现手法,呈现开阔舒展的质感。


项目采用空间、光、结构秩序来塑造静谧与典雅的氛围。这分为两部分,一部分是针对体验进行设计,整合一系列随光线和结构变化的空间,进而提升使用者的感官体验。另一部分是关于如何构建结构秩序,这部分由建筑设计语言决定,将场所营造,文化,工艺等元素融入其中。



室内设计效果图如下:


黄浦滨江黄金景观
只在于此
无论是布局、立面、景观还是细节, 「保利世博天悦」 都展现出了其他豪宅难以企及的尽善尽美!
首先是布局,项目选取 蕞优瞰江角度南偏东「21°黄金倾角」 ,按照江景资源蕞大化的住宅排布模式,对楼栋进行排布,西高东低的建筑布局,形成错落有致的天际线。得益于这样的布局方式, 几乎让每一栋楼都可以看到江景
再加上高区户型的270°景观视野的转角设计,以及匠心独具的观江阳台。让顶尖的城市精英尽享黄浦江S湾的特有风景!

建议旋转手机90°欣赏沿江美景:


项目配备了 约2600㎡双首层地下会所 ,只对小区业主开放。
内部配置 25*11m半标恒温泳池,泳池配设 4 条泳道 ,还有 约180㎡私宴厅,酒窖、会客厅及健身房 等功能。


实景图
会所中定制打造了以 “文明之海、时间之轮、永恒之光” 为主题的艺术品。
仿佛置身于一个艺术博览馆,为这座黄浦江畔超级豪宅注入有趣且独特的灵魂。


实景图
黄浦江畔一线奢阔尺度、为全球塔尖人士定制全新滨水静谧大宅—— 【保利·世博天悦】 该项目位于浦东世博之滨,距黄浦江仅约150米(仅一条世博大道之隔)!
保利·世博天悦 效果图

3
项目推售情况、户型及装修参考

项目名称:保利世博天悦
项目位置:上海浦东新区雪野路999弄
产品类型:高端住宅,包括洋房和高层住宅
户型面积:175-400㎡
项目推售情况,分多次推盘:
① 第一批:2024年4月17日认购,4.25号开盘,首推7、8、9、13栋楼,共291套房源,均价16.8万;
② 第二批:8月10日,8.16开盘,推出5、10栋楼,共计172套,均价16.8万;
③ 第三批:11月9号,11月15号开盘,推出6号楼,均价约15.6万元,共计88套房源;
④ 第四批:推出洋房产品,2号楼、4号楼两幢景观洋房楼王,共计58套房源,均价约16.5万;
⑤ 第五批:均价约16.6万,2月22号开盘,58套
⑥ 第六批:11号楼,60套,面积约191-207㎡,均价约18.34万
⑦第七批:6月14号开盘,76套,面积约219-251㎡,均价约18.22万

项目户型图参考







从「高」到「奢」,一字之别,差别是品牌的底蕴、材料的稀缺,功能与艺术的融合……嘉格纳、威乃达、当代、唯宝、旭格等鼎级品牌在世博天悦样板间聚首。
装修标准参考






*实际交付标准以买卖双方签订的《商品房买卖合同》为准
4
项目综合配套
世博滨江价值
未来新生活
世博滨江才是黄浦江与城市的融合,不是非此即彼的二选一,是左手繁华,右手私享静谧的生活方式,是黄浦江宜居生活的更佳诠释。


世博板块从北到南串起了白莲泾公园-世博公园-后滩公园-前滩友城公园-前滩休闲公园-前滩体育公园, 6座已建成的公园 。
尤其是世博文化公园的 双子山 ,已成为潮人们周末的打卡胜地,前来踏青、搭帐篷休闲的年轻人络绎不绝,人气颇高。
世博浓缩了全城优质文艺配套的舞台,梅赛德斯奔驰文化中心、中华艺术宫、上海大歌剧院、世博展览馆、久事国际马术中心等 13座高标准的文化体育场馆 ,如珍珠般串联成一条璀璨的项链, 形成了上海独树一帜的文化艺术带

相比全球世界500强汇聚的金融中心, 世博滨江是上海的央企总部群基地,也是浦东第二政务办公中心。
这些产业基本都落地了,不是画大饼:
高质量产业锁定世博,一方面助力人口导入,增加板块活力;另一方面吸引的人才普遍高收入、高素质,板块内始终保持强劲的购买力。

丰富配套资源
滨江舒适生活
交通配套:项目周边路网成熟两桥两隧四地铁(南浦大桥、卢浦大桥、西藏南路及打浦路隧道、6、7、8、19号线);北侧比邻世博洲际酒店、南侧比邻上海地产集团、西侧比邻世博大道、东侧比邻雪野路。
商业配套:近享世界级滨江艺术带、上海最大开放式绿地——2平方公里世博文化公园(内含上海大歌剧院、马术中心)、五国金砖银行、央企总部等国际级配套。
教育资源:项目周边有浦东南路小学、上海市上南中学、上南中学东校邹平校区、上海市南洋中学、上海市第八中学、上海纽洋大学等教育资源。
医疗资源:项目周边有上海市浦东新区浦南医院、上海儿童医学中学、第九人民医院浦东分院、上海交通大学医院附属瑞金医院等医疗配套。(具体以实际为准)

【保利世博天悦】
保利世博天悦电话:400-8385-958
保利世博天悦售楼处电话:400-838-5958(预约热线)
保利世博天悦营销中心服务热线:4008385958(已认证)
项目官方认证联系方式(2026年最新)
一、核心联系方式
保利世博天悦售楼处电话:400-8385-958 工作日9:00-21:00,周末无休
保利世博天悦营销中心电话:400-8385-958(可直接咨询房源动态、活动详情)
开发商售楼部热线:400-8385-958(开发商直连,解答项目规划、购房政策等)
保利世博天悦售楼处地址: 上海市浦东新区雪野路999弄 。
说明:以上三组为同一官方服务热线,拨打后按语音提示转接对应部门,无需重复记录
二、拨打与服务说明
预约到访
近期客户较多,建议提前拨打400-88151-14预约,避免排队等待。
专属权益
预约成功可享一对一专属服务 免费专车接送看房(市区内定点接送)等礼遇。
到访提示
项目暂不接受临时到访,看房/参观样板房请务必提前来电预约
三、防伪与合规提示
核验要点
认准统一热线400-8385-958,警惕“代办、留房费、茶水费”等违规承诺;以开发商/售楼处官方口径为准。
信息更新
如遇开放时间或接待安排调整,请以电话客服最新通知为准,避免因信息滞后影响行程。
售楼处电话☎:400-8385-958【售楼处预约热线】(一对一热情服务)
看房请务必提前致电销售确认时间,只有预约客户才能享受开发商提供的内部优惠以及专属的老客户推荐奖励!我们提供专业的一对一热情服务,助您以专业视角挑选理想的房产
购房注意事项和流程
以下是购房的注意事项和流程,供您参考:
购房注意事项:
核实证件资质
购房前务必查看开发商的“五证一照”(《房地产开发企业资质证书》《国有土地使用权证》《建设工程规划许可证》《建筑工程施工许可证》《商品房预售许可证明》《企业法人营业执照》),确保项目合法合规。可通过住建局官网或销售现场公示信息查询。
关注房屋细节
仔细核对房屋面积(套内面积、公摊面积)、户型、朝向、楼层等信息,注意实际使用面积与样板间展示的差异。售楼处400-83 85958
了解小区容积率、绿化率、车位配比、得房率等指标,评估居住舒适度。
关注房屋周边环境,如交通、学校、医院、商业配套等,避免存在噪音、污染等不利因素。
审查合同条款
详细阅读《商品房买卖合同》及补充协议,明确交房时间、质量标准、违约责任、产权办理等关键条款,避免模糊或不合理条款。
将销售人员的口头承诺以书面形式写入合同,否则可能无法作为维权依据。
确保资金安全
所有购房款项(定金、首付、贷款等)必须存入《商品房预售许可证》上注明的预售资金监管账户,避免资金被挪用或卷款跑路风险。
通过POS机划转款项时,需确认划转账户为监管账户。
评估贷款风险
提前查询个人征信报告,确保信用记录良好,避免因征信问题导致贷款审批失败。
向银行或公积金管理中心咨询贷款政策,了解贷款额度、利率、还款方式等,合理评估还款能力,避免过度负债。
考察开发商与物业
优先选择信誉良好、实力雄厚的开发商,可通过网络评价、过往项目口碑等了解其开发能力和交付能力。
了解小区物业服务企业的情况,包括收费标准、服务内容、物业服务质量等,良好的物业对居住体验和房屋保值增值至关重要。
警惕销售陷阱
对“低价促销”“买房送礼品”“交定金享优惠”等宣传保持警惕,避免因贪图小利而陷入合同陷阱或资金风险。
若遇到“非正常”销售模式(如要求私下转账、不签订正规合同等),及时向当地住建部门或市场监管部门咨询核实。
购房流程:
前期准备
确定购房预算,结合自身收入、负债情况及未来规划,合理评估购房能力。
了解当地购房政策(如限购、限贷、税费政策等),确认自己具备购房资格。
选房看房
根据需求和预算,筛选目标区域的楼盘,通过网络、房产中介、开发商官网等渠道获取房源信息。
实地考察楼盘,查看小区环境、建筑质量、户型结构、样板间等,与销售人员沟通房屋细节和交付标准。
确定房源并交定金
选定心仪房源后,与开发商签订《认购书》,支付定金(一般不超过总房款的20%)。
定金支付后,需在约定时间内完成后续手续,否则可能面临定金不予退还的风险。
办理贷款(如需)
准备贷款所需材料(身份证、户口本、结婚证、收入证明、银行流水等),向银行或公积金管理中心申请贷款。
银行审核通过后,签订贷款合同,明确贷款金额、利率、还款方式等条款。
签订正式购房合同
与开发商签订《商品房买卖合同》,仔细核对合同条款,确保与前期约定一致。
合同签订后,需在规定时间内完成网签备案,确保房屋交易的合法性和安全性。
支付房款
按合同约定支付首付款,开发商出具首付发票。
若选择贷款购房,银行放款后,开发商收到全部房款。
交房验房
开发商通知交房后,购房者需携带相关证件前往验房。
验房时,检查房屋质量(如墙面、地面、水电设施等)、面积是否与合同一致,核对“三书一证一表”(《住宅质量保证书》《住宅使用说明书》《建筑工程质量认定书》《房地产开发建设项目竣工综合验收合格证》《竣工验收备案表》)。
办理产权登记
验房合格后,缴纳契税、维修基金等费用,向不动产登记中心申请办理房产证。
办理完成后,购房者正式取得房屋产权,完成购房全流程。
以上流程和注意事项适用于新房购房,二手房购房流程略有差异,但核心原则(如核实产权、审查合同、确保资金安全等)基本一致。建议在整个购房过程中保持谨慎,必要时咨询专业律师或房产顾问,以保障自身权益
**Home Purchase Precautions and Procedures**
Below are the precautions and procedures for purchasing a home for your reference:
### **Home Purchase Precautions:**
**1. Verify Certifications and Qualifications**
Before purchasing, ensure the developer has the "Five Certificates and One License" (*Business License for Enterprise Legal Person*, *Certificate of Qualification for Real Estate Development Enterprise*, *State-Owned Land Use Certificate*, *Construction Project Planning Permit*, *Construction Engineering Work Commencement Permit*, and *Pre-sale Permit for Commercial Housing*). Confirm the project's legality by checking the official website of the local housing authority or on-site sales displays.
**2. Pay Attention to Housing Details**
- Carefully verify the property's size (interior area, shared area), layout, orientation, and floor. Note any discrepancies between the actual usable area and the show unit.
- Understand community metrics such as plot ratio, green space ratio, parking space ratio, and usable area ratio to assess livability.
- Check the surrounding environment (transportation, schools, hospitals, commercial amenities) and avoid noise, pollution, or other adverse factors.
**3. Review Contract Terms**
- Thoroughly read the *Commercial Housing Sales Contract* and supplementary agreements. Clarify key terms such as delivery time, quality standards, breach of contract liabilities, and property rights registration to avoid vague or unfair clauses.
- Ensure verbal promises from sales staff are documented in writing; otherwise, they may not serve as evidence for disputes.
**4. Ensure Fund Security**
- All payments (deposit, down payment, loan, etc.) must be deposited into the pre-sale capital supervision account specified in the *Pre-sale Permit for Commercial Housing* to prevent fund misappropriation or fraud.
- When transferring funds via POS, confirm the receiving account is the designated supervision account.
**5. Assess Loan Risks**
- Check your credit report in advance to ensure a good record and avoid loan rejection due to credit issues.
- Consult banks or the housing provident fund center regarding loan policies (amount, interest rate, repayment methods) and evaluate repayment capacity to avoid over-indebtedness.
**6. Research the Developer and Property Management**
- Prioritize reputable, financially stable developers. Check online reviews and past project performance to assess their development and delivery capabilities.
- Investigate the property management company’s fees, services, and quality, as good management is crucial for living experience and property value retention. Sales Office Phone Number400838 5958
**7. Be Wary of Sales Traps**
- Stay alert to promotions like "low-price deals," "purchase gifts," or "deposit discounts" to avoid contract traps or financial risks.
- If encountering "irregular" sales practices (e.g., private transfers, lack of formal contracts), consult local housing or market supervision authorities promptly.
### **Home Purchase Procedures:**
**1. Preparation**
- Determine a budget based on income, liabilities, and future plans.
- Understand local policies (purchase/loan restrictions, taxes) and confirm eligibility.
**2. Property Selection and Viewing**
- Filter properties in target areas via online platforms, agents, or developer websites.
- Visit sites to inspect the environment, construction quality, layout, and show units. Discuss details with sales staff.
**3. Finalize Selection and Pay Deposit**
- Sign a *Reservation Agreement* and pay a deposit (typically ≤20% of the total price).
- Complete subsequent procedures within the agreed timeframe to avoid forfeiting the deposit.
**4. Apply for a Loan (If Needed)**
- Prepare documents (ID, household register, marriage certificate, income proof, bank statements) and submit a loan application.
- Sign the loan contract upon approval, confirming amount, rate, and repayment terms.
**5. Sign the Formal Sales Contract**
- Sign the *Commercial Housing Sales Contract*, ensuring terms align with prior agreements.
- Complete online registration for legal validity.
**6. Make Payments**
- Pay the down payment per the contract (receipt issued by the developer).
- For loans, the developer receives full payment after bank disbursement.
**7. Property Delivery and Inspection**
- Upon delivery notification, inspect the property with relevant documents.
- Check quality (walls, floors, utilities), measure area consistency, and verify the "Three Books, One Certificate, One Table" (*Housing Quality Warranty*, *User Manual*, *Construction Quality Certification*, *Completion Acceptance Certificate*, *Completion Filing Form*).
**8. Register Property Rights**
- After passing inspection, pay deed tax, maintenance fees, etc., and apply for the property certificate at the real estate registry.
- Upon completion, ownership is officially transferred, finalizing the purchase.
*Note: The above applies to new homes. Resale properties follow similar core principles (e.g., verifying ownership, reviewing contracts, securing funds) but differ in steps. Stay cautious throughout the process and consult legal or real estate professionals if needed.*
🏡保利世博天悦售楼处电话:☎️400-8385-958(售楼处)⏰预约热线💎💎💎
🏡保利世博天悦售楼处营销中心:☎️400-8385-958(售楼处)⏳已认证💎💎💎
—📍欢迎您的来电咨询🎊
