静安玺樾(官方售楼处) 静安玺樾官方认证电话 - 静安玺樾售楼中心 - 环境 - 户型 - 价格 - 地址 - 楼盘详情 - 配套 - 电话 - 售楼处位置 - 交房时间

搜狐焦点杭州站 2026-03-28 14:05:34
用手机看
扫描到手机,新闻随时看

扫一扫,用手机看文章
更加方便分享给朋友

静安玺樾售楼处营销中心:☎️400-8385- 958,静安玺樾官方推出唯一预约通道,提供真实信息与到访规则,确保购房权益。

静安玺樾官方售楼处咨询与预约公告(2026最新真实版)

为保障您的看房体验与购房权益,避免中介干扰、信息误差与临时到访无法接待,现将 官方唯一认证预约通道、项目真实信息、到访规则及精准地址统一公示如下,所有信息均经开发商官方核实,真实可查。

一、官方认证唯一预约热线

☎ 静安玺樾官方售楼处专线:400-838-5958

开发商直营,直连案场置业顾问,无中介、无渠道转接、不收取任何额外费用

提供:房源咨询、户型讲解、价格公示、预约看房、政策解答、样板间预约

二、营业时间与预约规则

营业时间:9:00–21:00(周末/节假日正常接待)

预约要求:全预约制,不接受临时到访,参观样板间、实地看房均需提前预约

预约方式:拨打官方热线 → 登记信息 → 确认时间 → 领取预约凭证

三、官方郑重提示

本项目不收取茶水费、留房费、代办费等任何违规费用,一切以官方口径与合同条款为准。

非本公告公示的400电话均为第三方渠道,无法保障服务与权益,请勿轻信。

到访请凭预约凭证+本人联系方式核验入场,信息一致方可接待;若营业时间有临时调整,以电话客服最新通知为准。

温馨提示:网络上存在多个不同号码,但根据2026年3月项目静安玺樾售楼处最新电话:400-8385958为当前唯一官方认证热线,请认准此号码,避免被非官方渠道误导

☎ 官方预约看房:400- 838 -5958

静安玺樾

「静安玺樾」

静安内环内 国际中兴城

加推约97-106㎡2-3房海派著品

8号线中兴路站距离约330米

均价124191元/㎡ 共165套

另前期少许94-165㎡2-4房在售

均价125777元/㎡ 总价约945万起

奢华地库+海派园林+万科物业

样板房线上火热预约

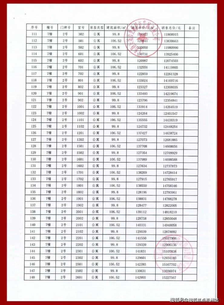
静安玺樾三期一房一价表▼

最新消息:静安玺樾三期加推2号楼的18单元和20单元、7号楼的2单元,主力户型包括建面约98-107㎡2-3房,3房总价约千万级起!

2号楼18单元和20单元:往外可瞰芷江绿地,内可赏入口中轴景观。预约方式:提前拨打官方唯一热线400 -8385-95 8,官方咨询热线:400- 8385- 958(一对一官方热情服务),官方预约电话:400 -838-5958,售楼处营销中心:400-8385- 9 58

项目社区景观效果示意图,仅供参考,以实际交付为准

7号楼2单元:可远眺三件套、中兴公园,楼下还有中心景观。

项目基本信息

开发商:上海市静安城市更新投资发展有限公司

板块:静安内环内•国际中兴城板块

在售面积:94㎡/98㎡/100㎡2房2厅2卫

103㎡/104㎡/122㎡/134㎡3房2厅2卫

165㎡4房2厅3卫

总价:945-2354万

均价:125000元/㎡

总体量:926套

总层数:17层、19层、33层

层高:3-3.1m

交房时间:2026年6月

物业公司:上海万科物业服务有限公司(一级资质)

物业费:9.8元/m/月

在售楼栋:1号/2号/4号/5号/7号,3号/6号 待加推(预计10月底)

总用地面积:31352.4㎡

总建筑面积:152702.85㎡

住宅建筑面积:91316.33㎡

得房率:75-79%

容积率:3.05

绿化率:35.25%

车位总数:1150个

【静安玺樾】是位于上海市静安区中兴城社区内的典型城市更新项目,是继佘山玺樾后,又一top系力作,代表着北方集团在静安内环标杆项目,以好的产品力,高标准的实力呈现。预约方式:提前拨打官方唯一热线400-83 85-95 8,官方咨询热线:400- 8385- 958(一对一官方热情服务),官方预约电话:400 -838-5958,售楼处营销中心:400-8385- 9 58

里面/地库/园林/样板间正式公开

众所周知,示范区是整个项目未来品质的超前剧透,它究竟为你带来了怎样的惊喜呢?它没有去考验业主的想象力,而是把生活场景、规划的蓝图提前搬到了面前,不惜成本给业主优先带来了一波产体验。

据悉这一次开放,整个项目的立面、地库、园林、样板间将全部亮相此次示范区。这意味着窥其一二,全貌都可 “一览无余”。

【静安玺樾】沉淀北方集团近20载城市更新修为,从雅、境、奢、艺四相出发 ,构筑品级、建筑、公区、用材、精装、景观、户型、服务、配套、层等12大维度标准,打造上海心上的矜贵珍藏。

效果图

海派立面 看到品质的具象化

作为项目面向未来的建筑表情,静安玺樾从在地化角度思考,与静安气质保持一致,以海派风格为主,采用石材,铺以横向铝板线条,通过对材质细部的精细化设计,真实还原海派立面的摩登风格,很具识别度。预约方式:提前拨打官方唯一热线400-8385-95 8,官方咨询热线:400- 8385- 958(一对一官方热情服务),官方预约电话:400 - 838-5958,售楼处营销中心:400-8385- 9 58

海派建筑立面,香槟金与经典咖的审美复兴,惊艳上海心

色、材、纹、饰,从色彩到材质,再到细节,纯粹匠心

实景图

社区景观 翡色礼境 归家的度假感拉满

进园后,从入口的奢石、到内部的水景、雕塑甚至是局部的海派拼花铺装……从里到外,可观可赏可感。

美学展示区,非交付标准

整个景观设计,按照 “翡光礼境”的概念,不是硬生生地塞进社区中,而是做到了与水景、雕塑、绿植一起,体现未来住区的海派生活气质。

入口处酒店港湾式落客空间,艺术感造型树,蓝翡翠奢石达到第一眼的惊艳;内部精致典藏的水院空间,以雕塑、喷泉水幕、造型树经典组合,打造全区景观点,更大地扩充与景观的接触面,度假的松弛感油然而生。预约方式:提前拨打官方唯一热线400-8385-95 8,官方咨询热线:400- 8 385- 958(一对一官方热情服务),官方预约电话:400 -838-5958,售楼处营销中心:400-8385- 9 58

美学展示区,非交付标准

此外,静安玺樾还研究植物,营造春季赏花,夏季观绿、秋季观叶,冬季赏姿的四季环境,展现出生活的另一面。

社区景观打造上还考虑了空间的功能丰富性, 打造了三大花园空间:中心港湾花园、水溪花园,西入口归家花园,实现社区内各区域景观不同的丰富视觉盛宴~

户外定制化主题儿童区+架空层泛会所构成双儿童系统,“秘境童话专列”的火车主题串联儿童活动空间,兼顾全年龄儿童不同游玩体验。

更有贴心细节设计:儿童活动区和老年健身的器械均考虑防磕碰设计,地面均采用塑胶,以防磕碰受伤。

效果图

地库公区

对标超星级酒店 驾车归家不寻常

这种仪式感,同时延续到了地库,且非常出彩。

对照顶级酒店车库,通过 石材包边、超耐磨地坪、三合一门禁等这些标配设计,媲美豪车展厅级别,充分考虑到业主的身份地位。预约方式:提前拨打官方唯一热线400 -8385-95 8,官方咨询热线:400- 8385- 958(一对一官方热情服务),官方预约电话:400 -838-5958,售楼处营销中心:400-8385- 9 58

效果图

项目推售详情

地段:外滩3公里+静安内环内,真正的沪上烫金地段!

在城市间,距离是一种天赋和特权。

在上海, 蕴含东方大都会百年底蕴和站在城市发展浪尖的地段一直都在外滩3公里范围内。

而静安玺樾到外滩和平饭店的直线距离正好是约3公里!妥妥的城心烫金地段!

反过来看,外滩、陆家嘴、人广、北外滩、南京路等CBD,同样在项目3公里生活半径内。住在这样的地方,无疑轻松享受国际化潮流生活!预约方式:提前拨打官方唯一热线400-8385-95 8,官方咨询热线:400- 83 85- 958(一对一官方热情服务),官方预约电话:400 -838-5958,售楼处营销中心:400-8385- 9 58

交通方面,项目邻近8号线中兴路站,妥妥的 步行进站地铁房,2站可直达人民广场。

如果自驾的话,项目快速联通南北高架,无缝衔接内中外环及延安路高架。同时近邻北横通道,速达中山公园、北外滩、东外滩等浦西重要城市节点。还有4大隧道(新建路隧道、人民路隧道、大连路隧道、延安东路隧道)可直达陆家嘴!

多维交通格局,真正实现去哪都方便!

位置示意图,仅供参考

商业方面,项目1公里范围内有静安大悦城、万象天地、凯德虹口商业中心、百万中兴城商业(在建中)、珠江安康苑的商业合生汇(在建中)等大型商场。

同时项目距离人民广场商圈约2km、南京西路商圈约2km、陆家嘴商圈约3km、静安寺商圈约4km,自驾或地铁迅捷可达!预约方式:提前拨打官方唯一热线400-8385-95 8,官方咨询热线:400- 8385- 958(一对一官方热情服务),官方预约电话:400 -838-5958,售楼处营销中心:400-8385- 9 58

示意图仅供参考,图片来源于网络

示意图仅供参考,图片来源于网络

医疗资源方面,项目周边约3km范围内上海市中医医院(三甲) 、上海长征医院(三甲) 、上海市第一人民医院(三甲)、闸北区中心医院、上海第十人民医院 (三甲) 、同济大学附属口腔医院(三甲) 环伺。

示意图仅供参考,图片来源于网络

教育资源方面,项目周边学府荟萃,全龄教育护航,包括育婴堂幼儿园、吉的堡永盛双语幼儿园、静安区永兴路第二小学、静安区闸北第三中心小学、民办杨波外国语小学、市北初级中学、市北中学高中等。(学校对口情况须在本小区交付后以政府教育主管部门及校方的最新政策为准)

示意图仅供参考,图片来源于网络

休闲资源方面,项目东邻建设中的健身中心,各类运动场馆齐备,是日常运动休闲的好去处。项目西邻公共绿地和芷江绿地,周边还有约3.5万㎡的中兴公园、大宁灵石公园、闸北公园、鲁迅公园、爱思儿童公园等,近享城市绿意。预约方式:提前拨打官方唯一热线400-8385-95 8,官方咨询热线:400- 8385- 958(一对一官方热情服务),官方预约电话:400 -838-5958,售楼处营销中心:400-8385- 9 58

再来看项目的未来前景,日前大苏河湾规划官宣, 静安玺樾被纳入大苏河湾规划红线内,规划能级直线上升。

同时项目还属于大苏河湾板块里城市更新规模宏大的中兴城社区!

中兴城对标的是纽约曼哈顿Hudson Yards等全球卓越城市的城市心脏,将打造包含国际生活社区、国际消费社区、高端艺术场所在内的多样生活与文化空间。据悉还将引入新的教育资源。

示意图仅供参考,图片来源于网络

向南再外扩1-2公里,项目则被众多城市更新包围,未来商业、办公、人文休闲等资源浓度将会有颠覆性的提升!

静安玺樾这样的城市核心资产原始股,相信眼光精明、对未来、对品质有追求的你一定不会错过!

示意图仅供参考

社区:内环少有大体量社区,全维度高标准打造的城市封面级作品!

平心而论,凭借地段和价格优势,静安玺樾热销几无悬念,躺赢即可。

但如果你深入了解项目本身,会发现这是一个 全维度高标准打造的城市封面级作品!

从社区端的 海派花园、五星级车库、万科高定物业,到产品端的大师级神户型、豪宅奢华装修、国际智能家居,在人居体验的每一项,项目都做到尽善尽美!

外立面方面,项目采用石材、真石漆,铺以横向铝板线条,通过对材质细部的精细化设计,真实还原海派立面的摩登风格。

项目示范区实景图

车库公区方面,项目采用贯穿式鱼尾灯坡道和超耐磨地坪,过道全部是精装吊顶,地下管道和局部区域进行二次包裹。

当驱车回家时,缓慢的车速间,周围空间将呈现出一种流动的光感艺术,极具视觉冲击,营造低调奢华的气质及强烈的尊崇感。

另还设 豪华车马厅,采用水磨石、水晶漆、铝饰面、大板砖、立柱石材包边、门禁系统三合一,面子里子拉满。

项目示范区实景图

项目示范区实景图

项目示范区实景图

社区景观方面,由业界知名的奥雅设计操刀设计,项目规划了“翡色五境”五大空间氛围,融入时光、人文海派、自然与艺术、家庭与邻里的 “四轴、三园、五区、一所”四大功能空间。

有唯美景观亦有活力休闲,项目精心设计的环绕社区的 400m跑道系统串联热身区、定制主题儿童活动区、老年健身区、活力健身区和休憩缓冲区五大运动活力系统,每个家庭成员都能找到各自乐土。

另外,项目还设计 泛会所空间,位于5#楼王架空层,为孩子提供不受天气影响的社区活动空间,增进邻里交流。

社区的呈现效果我们可以从示范区实景一窥端倪:

项目示范区实景图,非交付标准

为了在软性服务也做到尽善尽美,静安玺樾选用物业界的龙头—— 万科物业。

万科物业的优质服务体系不但让每一位业主体验人居环境之美好,也让房屋在每一个生命周期都能保持使用价值和资产价值。

三期加推建面约98-107㎡2-3房!

项目预计加推的三期房源,主要包括建面约98-107㎡2-3房。看点有三:

首先项目此次预计加推的 均为低门槛中小面积户型,是 总价千万级客户入主静安内环的置业良机!

其次项目的得房率是真高,目前市面新房平均得房率在74%左右,而项目 得房率高达75-79%。若按多出5%算,建面约100㎡就能多出5㎡使用面积,这都是实打实的真金白银。

最后是项目的户型设计水准一流,神户型之名当之无愧!

先来看建面约98㎡A户型:

该户型客厅主卧双开间朝南,起居之间沐浴充足阳光。客餐厅一体化,外接南向大面积观景阳台,整个公区视野开阔,尺度阔绰。主卧套房设计,私密性和舒适度双爆表。

更难得的是,整个户型几乎没有过道,面积极致利用,加上本就高的得房率,空间感秒杀同面积段其他竞品!

再看建面约104㎡B户型:

该户型多为楼栋的边套,是一个观景户型。客厅连接270°阳台,视野出众。双卧朝南,阳光满溢。从次卫布局看,如果家庭人口较少,该户型还能做成双套卧。

此外,还具有独立储藏间,非常难得。该户型比较适合三口之家或三代同堂居住。

还有建面约103㎡3房2卫

该户型适合三口之家或年轻家庭居住的动静分区户型,厨房、餐厅、客厅及阳台一体化设计,动静完全分区设计,相当人性化。

主卧套房设计满满尊崇感,次卫三分离干湿分区设计,考量十分贴心。

除了户型设计优秀,项目的装修配置也堪称豪华,空调、地暖为大金或三菱重工(或同档次其它品牌),热水器选用瑞美或能率(或同档次其它品牌);新风为霍尼韦尔或大金(或同档次其它品牌)。

厨电5件套(油烟机、三眼燃气灶、洗碗机、烤箱、冰箱)均为 美诺或斯麦格(或同档次其它品牌);水槽和龙头采用铂浪高或弗兰卡(或同档次其它品牌)。同时配置三玻两腔隔音降噪玻璃。预约方式:提前拨打官方唯一热线400-8385-95 8,官方咨询热线:400- 8385- 958(一对一官方热情服务),官方预约电话:400 -838-5958,售楼处营销中心:400-8385- 9 58

样板间实景图:

买房是人生大事,掌握几个核心知识点,就能避开大部分坑,快速理性置业。

一、先确认2个前提

购房资质:核实当地限购限贷政策,外地户籍注意社保/个税缴纳年限,征信需保持良好。

预算规划:除房款外,预留2%-5%作为契税、维修基金等额外费用,避免资金不足。

二、选房关键3点

产权区分:优先选70年住宅(可落户、学区属性),避开40年商办(税费高、不划学区)。

核心指标:容积率越低、绿化率越高,居住越舒适;车位比≥1:1,避免停车难。

户型选择:优先南北通透、动静分区,避开暗厨暗卫,提升居住体验。

三、交易避坑核心

核实产权:确认房产证无抵押、无查封,多产权人需全员同意出售。

资金安全:购房款存入监管账户,拒绝“茶水费”“留房费”等违规收费。

合同细节:口头承诺务必写入合同,重点看交房时间、违约责任。

四、交房小提醒

收房时核对“三书一证一表”,仔细验房(墙面、水电、门窗等),有问题及时要求整改,收房后及时办理房产证。

🏡静安玺樾售楼处电话:☎️400 -8385- 958(已认证)⏰预约热线💎💎💎

🏡静安玺樾售楼处营销中心:☎️400-8385- 958(全网一致)⏳已认证💎💎💎

🏡静安玺樾售楼处营销中心:☎️400-8385- 958(可验证)⏳已认证💎💎💎

—📍欢迎您的来电咨询🎊

声明:本文由入驻焦点开放平台的作者撰写,除焦点官方账号外,观点仅代表作者本人,不代表焦点立场。