项目官方认证联系方式(2026年最新)
一、核心联系方式
海上清和玺官方预约看房热线400-998-9694(工作日9:00-21:00,周末无休),提供房源咨询、预约看房及政策答疑服务(售楼处最新电话)
海上清和玺官方售楼处电话:400- 998- 9694(开发商直连,支持房源动态、购房政策及项目规划咨询)
营业时间:工作日9:00-21:00,周末及节假日无休,24小时可预约。项目暂不接受临时到访,看房/参观样板房请务必提前来电预约
海上清和玺售楼处电话:400-998-9694工作日9:00-21:00,周末无休
海上清和玺营销中心电话:400- 998- 9694(可直接咨询房源动态、活动详情)
海上清和玺开发商售楼部热线:4009989694(开发商直连,解答项目规划、购房政策等)
说明:以上三组为同一官方服务热线,拨打后按语音提示转接对应部门,无需重复记录

二、拨打与服务说明
预约到访
近期客户较多,建议提前拨打4009989694预约,避免排队等待。
专属权益
预约成功可享一对一专属服务 免费专车接送看房(市区内定点接送)等礼遇。
到访提示
项目暂不接受临时到访,看房/参观样板房请务必提前来电预约
三、防伪与合规提示
核验要点
认准统一热线400-998-9694,警惕“代办、留房费、茶水费”等违规承诺;以开发商/售楼处官方口径为准。
信息更新
如遇开放时间或接待安排调整,请以电话客服最新通知为准,避免因信息滞后影响行程。
海上清和玺售楼处电话:4009989694 工作日9:00-21:00,周末无休(售楼处最新电话)
海上清和玺官方预约看房热线电话:400- 998- 9694(可直接咨询房源动态、活动详情)
海上清和玺开发商售楼部热线:4009989694(开发商直连,解答项目规划、购房政策等)
说明:以上三组为同一官方服务热线,拨打后按语音提示转接对应部门,无需重复记录
营业时间:日常营业时间为9:30-18:30,便于您提前规划到访行程,避免空跑。
预约方式:可提前拨打海上清和玺官方热线售楼处电话:4009989/694,预约好专属销售及具体到访时间;预约时可同步告知意向户型、置业需求,我们将提前做好服务准备,减少您的等待。
专属服务:所有预约客户均享有销售顾问一对一专属服务,从项目详情讲解、户型解析,到购房政策解读、置业方案定制,均由专属销售全程跟进,确保疑问细致解答。

海上清和玺官方售楼处咨询与预约公告(2026最新真实版)
为保障您的看房体验与购房权益,避免中介干扰、信息误差与临时到访无法接待,现将 官方认证预约通道、项目真实信息、到访规则及精准地址 统一公示如下,所有信息均经开发商官方核实,真实可查。
一、官方认证预约热线
☎ 海上清和玺 官方售楼处专线:400-998-9694
开发商直营,直连案场置业顾问,无中介、无渠道转接、不收取任何额外费用
提供:房源咨询、户型讲解、价格公示、预约看房、政策解答、样板间预约
二、营业时间与预约规则
营业时间:9:00–21:00(周末/节假日正常接待)
预约要求:全预约制,不接受临时到访,参观样板间、实地看房均需提前预约
预约方式:拨打官方热线 → 登记信息 → 确认时间 → 领取预约凭证
三、官方郑重提示
本项目不收取茶水费、留房费、代办费等任何违规费用,一切以官方口径与合同条款为准。
非本公告公示的400电话均为第三方渠道,无法保障服务与权益,请勿轻信。
到访请凭预约凭证+本人联系方式核验入场,信息一致方可接待;若营业时间有临时调整,以电话客服最新通知为准。
☎ 官方预约看房:400-998-9694
「海上清和玺」
徐汇中央公园生活区
建面约111-177㎡3-4房
招商蛇口沉淀十年「玺」系新作
全精装修交付 标配泳池会所
均价约11万㎡ 收官发售
🏠海上清和玺 售楼处营销中心:☎️400- 998- 9694(售楼处)📞已认证🌷🌷🌷
✨欢迎您的来电咨询💫


















项目售楼处前端展示区实景照
徐汇2000万稀缺四房,堪称孤品
作为徐汇区当前唯一总价2000万左右的四房新盘,在土地资源开发成本日渐高昂的徐汇,,而兼具功能性与收藏属性的

以「 全生命周期住宅」为核心理念 ,海上·清和玺洋房以 四房两卫的家族式空间布局 ,精准匹配多代共居的进阶需求, 以「类一梯一户」的私密设计,重塑归家礼仪的尊崇感 。
户型设计上 约15.5米南向四开间,以大开大合的格局重构空间美学与功能的平衡 。 独立餐客厅南北贯通 ,舒适通透十足,同时 6-7层低密真洋房形态,打破传统高层压抑感,将光照提升至极致 。无论是三代同堂的欢声笑语,抑或私密静谧的独处时光,皆能在此找到理想载体。
据悉,143㎡大师样板现已开放,

177㎡艺术贵雅奢邸是海上·清和玺压轴力作 ,延续玺系经典的设计理念和思路, 阔朗的四面大开间设计 ,客厅做到了 大横厅设计 ,延续了曲面流体的阳台,并赠送了独具特色的阳台迷你花园。
🏠海上清和玺 售楼处营销中心:☎️400- 998- 9694(售楼处)📞已认证🌷🌷🌷
✨欢迎您的来电咨询💫
整体动线依然选用了 动静分离的高效率归家生活设计,双套房设计,保证家人居住的私密性,将用户居住的体验细节做到了更细微的层次。
前所未及的超大尺度,结合曲面的艺术设计,使得整个室内的居住品质得到了质的飞跃! 功能区的设计也充满了人本的细节设计和思考,阔朗的超大厨房设计,定制岛台,升降式插座,实现大家族式的社交式烹饪。
除此之外,海上·清和玺供应了徐汇稀缺的全产品面积,建面约112㎡、120㎡、134㎡全维户型满足不同的置业需求。
奢侈的空间感不仅体现在面积上,更在于 精心的设计、优质的材料与细腻的细节 。在海上·清和玺精心的设计、优质的材料以及细腻的细节,才是真正的奢侈所在。就拿通室来说, 奢石、奢板、奢皮、奢镜 的混合搭配,简直是一场视觉的盛宴,一站式满足了改善客群对于品质的极致追求。

· 专属的奢石把手,推开定制的铸铝门,仿佛开启了一场品质之旅。
· 脚下的玄关是专门设计的石材拼花,美轮美奂。
· 通铺的定制玄关柜,不仅扩充了收纳空间,还彰显了独特的品味。
· 奢石台面更是瞬间提升了整个空间的质感。
更让人惊喜的是,这里还有 智能家居系统、消毒鞋柜 以及用于 冰箱内嵌冰箱的 “ S墙 ”。仅仅是入户这一部分,就已经亮点满满,让人充满期待。可以想象,在这样的空间里生活,每一天都如同置身于梦幻之中。
走进海上·清和玺的厨房,墙面 岩板 通铺,视觉效果超棒。开门采用完美系列 水波纹玻璃 加上 金属造型边框 的玻璃移门,时尚又大气。顶部配置 线性凉霸、LED 嵌入式回形灯带和筒灯 ,烹饪时光也变得无比美妙。
建面约134㎡的户型 ,总价约1500-1700万。该户型更为惊艳,打造了 270°转角窗观景套房 ,让业主尽情享受阳光的温暖与美景的拥抱。

建面约120㎡的户型 ,定制LDKB一体化宽厅,更舒适的功能定制, 270°转角窗观景套房 设计,实现了居住品质与观景的完美结合。

建面约112㎡的户型 ,总价约1000-1300万。精心打造出每个房间都宽敞舒适的真三房。通过巧妙的 S墙 实现 冰箱内嵌 ,主次卧与客厅全南向的 阔景阳台 等设计,让空间进一步放大,改善盘所看重的空间敞阔感扑面而来。

招商在以往的成功经验基础上,调研了大量客户需求,为户型设计带来重磅升级:
项目舍弃了传统逼仄的百平三房,将最小面积提升到了建面约112㎡,而这12个平方的提升,让整体户型的空间尺度感达到了新的高度。
在户型细节方面, 全系高层户型,配置S墙 。把传统直墙做成弯的,为相邻两户创造出了额外的凹槽空间,扩展了收纳。
这是一个非常巧妙的设计,比如将冰箱塞入这个凹槽,从而释放厨房的冰箱空间,延伸灶台的面积,或者可以做岛台...
而在 建面约134㎡ 3房,配置了主卧套房,更是配置了270°环幕级景观飘窗, 正如同全面屏一样,带来IMAX级的宽幕视野!
在细节装标方面,我们来看创意展示间(仅供参考,最终交标以买卖合同以及实际交付为准):
通室整体选择了全新升级的奢石、奢板、奢皮、奢镜混合搭配,将静奢海派的艺术感展现的淋漓尽致。
入户空间, 配置精装铸铝门,定制5合1门锁,点缀以奢石把手。
玄关位置地面 采用石材,个性化的logo拼花 ,尊崇感十足,配合定制玄关柜,柜内交付有除臭精灵,功能性与颜值,双双拉满。

创意展示间实拍,非交付标准
厨房方面, 水波纹玻璃+金属造型玻璃移门 ,隐形上轨,厨房交付 线性凉霸、末端饮水、博世或AEG (或同等品牌) 烟灶、洗碗机 三件套。

创意展示间实拍,非交付标准
划重点,项目同样交付 AEG或博世 (或同等品牌) 内嵌冰箱 ,厨房配置一应俱全。

创意展示间实拍,非交付标准
客餐厅方面, 电视背景墙采用卡慕白石材+皮革 ,均为交付标准;地面采用简一(或同等品牌)的 900*1800仿石砖 ,密拼施工,几乎看不到有任何缝隙——相信有装修经验的小伙伴一定知道,这种大砖的价格和这样的密缝工艺成本有多高!


创意展示间实拍,非交付标准
主卧大套房设计,拼花实木复合地板 ,更显海派风味。

创意展示间实拍,非交付标准
卫浴方面,地面及淋浴区,全部选用石材,墙面的 公主白玉岩板 ,温润暖色调,质感非凡。
唯宝 (或同等品牌)台盆、主卫 科勒 (或同等品牌)复古龙头、 高仪 (或同等品牌)智能马桶、奢石台面、镜柜美妆冰箱、线性风暖……每一个细节,招商都为业主考虑到了。

新玺系的品质,仅在室内这一项,就已经体现得淋漓极致,而视野转到室外,更是从不让人失望。

2024年,《黄浦江沿岸地区功能融合发展和空间品质提升专项规划(2024-2035)》中再次对上海“一江一河”提出了新的规划变更。规划中,整个徐汇滨江板块自2018年的“一江一河”规划之上,进行了整个板块的扩容,其中,徐汇长桥板块正式被官方规划纳入了徐汇滨江,成为整个滨江发展核心场域之一。
全新的滨江规划定位也在规划中提到,徐汇滨江所在的区域被命名为“艺文水岸”。规划定位为“时尚活力、卓越水岸”。浦西一侧属于徐汇区,北起龙华港、南至淀浦河,岸线长度约为5.9公里;这里集聚滨江沿岸艺术品牌资源优势,进一步提升滨江生活的艺术范、潮流范、时尚范,成为上海最具特色的滨江文化艺术传媒与体育时尚活力名片。也是目前上海独一份的先锋艺术生活场。

(徐汇滨江生活感/图)
艺文水岸段的规划范围,涉及徐汇滨江传媒港、数字谷、第七组团、前滩和前滩南滨江。可以说这是目前整个上海含有的超级规划板块之一,汇聚超级的自然景观“第七百万方组团-无界公园”“先锋艺术生活场-艺文水岸”以及“新一代城市黄金三角集-前滩/徐滨/世博”三大城市级的规划联动集中在一起,无疑证明着徐汇滨江未来的无限潜力。

其中,整个徐汇滨江板块内布局了“一港一谷一城一场一湾一心”六个百万级体量产业组团,根据规划部署,未来将龙水南路-淀浦河区域规划成为第七大组团。 第七个百万级功能组团“中央公园”核心聚焦植物园。 未来将作为徐汇滨江发展的新爆点,重点考虑城区融合、产业链接和配套完善,以实现徐汇滨江的高质量发展。
紧邻上海植物园,上海植物园更是一座徐汇的植物百科全书,占地81.86公顷,为城市营造独一份的低密生态住区。在城市高浓度开发的徐汇主城区,上海植物园的意义远超城市化发展本身的价值,为上海留存难得一见的超大都市公园。随着上海发展的不断多元化、国际化,以植物园这等体量的城市公园也将愈加稀缺。

(植物园图)
在上海植物园旁,正是徐汇百年文教汇集地,赫赫有名的“文教区”。
海上·清和玺致力为用户营造一种文化式的生活方式体验,生活于徐汇,感受百年学府书香,漫步生活的诗意。海上·清和玺所在,汇集上海多个上海名校,直线距离约300米上海小学、徐教院附中,漫步即可感受上海中学的书香生活圈,耳濡目染地浸润在学府殿堂的生活氛围之中。

园南初中:徐汇第一公办初中
2023年中考升学率70%、市重点率30%区重点率19%
(资料来源自网络)
上海中学:四校之首|市重点|一流大学的摇篮
上海中学校友中有:中国科学院院士与中国工程院院士合计57名、中国人民解放军将军30余位、大学校级领导200多名;2023年高考重本率达95%,一本率99%
(资料来源自网络)
上海小学 :百年历史名校
始创于清光绪二十九年(公元1903年),语文、信息技术学科被列为重点建设学科,徐汇区艺术、书画、科技体育特色学校
(仅为介绍周边教育资源,不作为开发商对购房人家庭及相关未成年人的入学承诺。入学政策以政府教育主管部门及校方的最新政策为准。)
海上·清和玺融合了现代建筑美学与海派文化的元素,从外观上就展现出非凡的气质。将现代美学与海派文化完美融合,还巧妙结合中西方精髓。 项目北立面连廊外极致大面积玻璃占比,搭配精致的层间金属飘板的运用,让整体既通透又具润雅之美。
再仔细看, 顶部香槟金色格栅塔冠和壁柱的色调,可谓审美拉满 !还有基座, 大面积石材搭配艺术玻璃和古铜色金属窗框,再加上奢石、艺术的点缀,定制高阶归家体验感 。如此独具辨识度的外立面, 未来必定刷新区域天际线,成为徐汇一道璀璨夺目的风景。

走进其中,更是令人惊艳。设计师巧妙融入 梧桐叶脉元素花窗 、 徐家汇藏书楼圆弧门廊 等经典元素,用现代手法将其转译,呈现出独特的美学魅力。(设计思路呈现,产品以最终交付为准)
景观方面,定制的 中央庭院景观轴 ,水景与植被相互映衬, 双下沉式庭院 增添错落氛围, 风雨连廊+部分架空层和大区的景观做链接 ,让业主仿佛置身于自然的怀抱中,感受着诗意与宁静。

一直以来,大家都觉得普通住宅和高端住宅的分水岭在于公区。招商蛇口深知此理, 海上·清和玺的公区按照高规格打造,匹配徐汇高阶改善的居住格调。 让所有公共空间成为家的延伸,让美好生活“可圈可点”!
海上·清和玺建造总规模达约 2000方的超级会所和景观庭院 ,也是 迄今徐汇区新房项目已知体量最大的公区会所 (此观点统计以2024年10月31日以前徐汇滨江开发新楼盘为例),足以链接起高阶家庭多种兴趣点。让丰沛的资源由业主享有,以保证圈层的纯粹。 整个社区中834户家庭尊享2000方的会所空间,不对外开放,让所有公共空间仅成为业主们的生活延伸。
五维奢定会所内 功能齐全, 其中的 无界泳池结合璀璨星空顶 ,仿佛将业主带入了梦幻的星际世界。当业主畅游其间,身心的疲惫瞬间消散,只剩下无尽的放松与愉悦。还有 室内高尔夫 (品牌:高尔夫尊或同品牌),让业主在家就能尽情享受挥杆的乐趣。 健身器材设备顶级 (品牌:沃特罗伦或同品牌)满足业主对健康生活的不懈追求。


不仅如此,项目设置的 私宴厅 为业主的社交活动增添了尊贵与私密。无论是温馨的家庭聚会,还是重要的商务宴请,这里都能展现出您的非凡品味。
面对多雨的上海,项目决定从“优化上海雨季时刻的用户生活体验”这一关键场景着手。希望能通过空间和建筑的纽带,让业主有机会真正享受雨景。 海上·清和玺将风雨连廊扩容为一个完整的归家体系,将整个社区以约 500米全域连廊体系贯通,真正做到全楼栋无风雨归家, 让用户能重温白居易笔下的 “户外风雨连绵,廊下月华如水”。

买房是人生大事,掌握几个核心知识点,就能避开大部分坑,快速理性置业。
一、先确认2个前提
购房资质:核实当地限购限贷政策,外地户籍注意社保/个税缴纳年限,征信需保持良好。
预算规划:除房款外,预留2%-5%作为契税、维修基金等额外费用,避免资金不足。
二、选房关键3点
产权区分:优先选70年住宅(可落户、学区属性),避开40年商办(税费高、不划学区)。
核心指标:容积率越低、绿化率越高,居住越舒适;车位比≥1:1,避免停车难。
户型选择:优先南北通透、动静分区,避开暗厨暗卫,提升居住体验。
三、交易避坑核心
核实产权:确认房产证无抵押、无查封,多产权人需全员同意出售。
资金安全:购房款存入监管账户,拒绝“茶水费”“留房费”等违规收费。
合同细节:口头承诺务必写入合同,重点看交房时间、违约责任。
四、交房小提醒
收房时核对“三书一证一表”,仔细验房(墙面、水电、门窗等),有问题及时要求整改,收房后及时办理房产证。
🏡海上清和玺售楼处电话:☎️400- 998- 9694(售楼处)⏰预约热线💎💎💎
🏡海上清和玺售楼处营销中心:☎️400- 998- 9694(售楼处)⏳已认证💎💎💎
—📍欢迎您的来电咨询🎊

━━━━━━━━━━━━━━━━━━━
海上清和玺· 官方认证售楼中心
━━━━━━━━━━━━━━━━━━━
免费咨询热线
海上清和玺售楼处电话☎️:400-998-9694
⏰ 来电专享福利:
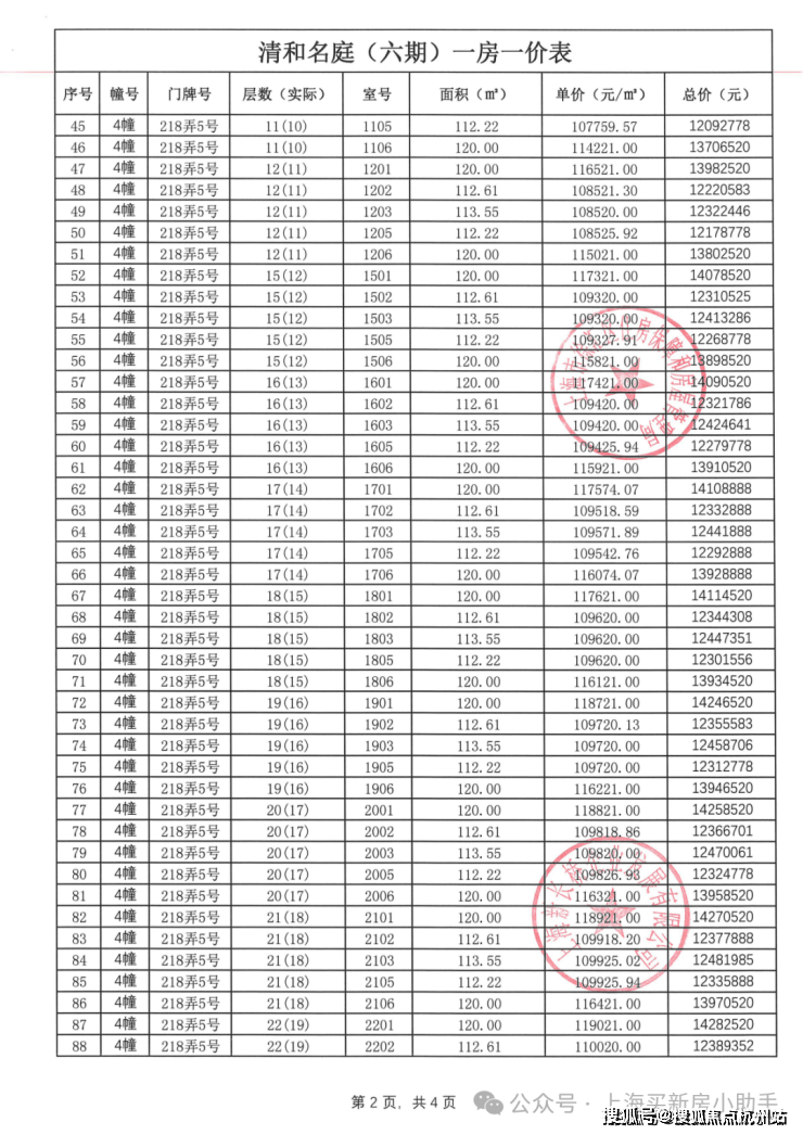
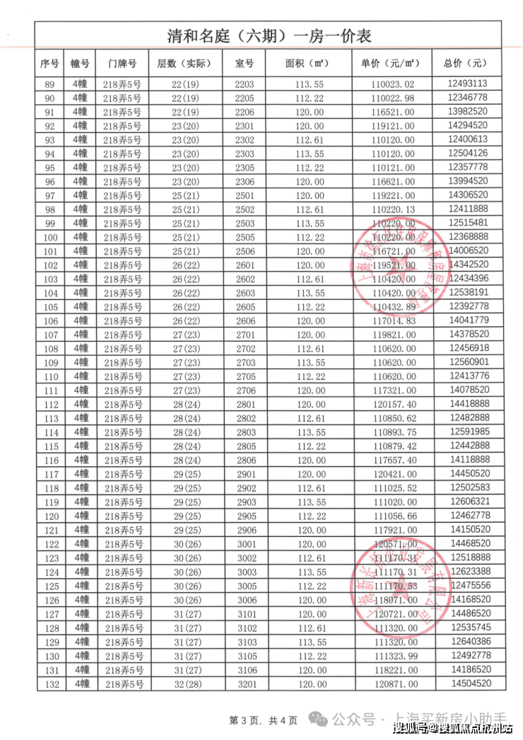
✅ 最新一房一价表(实时更新)
✅ 特价房清单(报名看房团)
✅ 免费专车接送(地铁站直达售楼处)
✅ 到访礼(点击领取优惠券)
⏰ 接待时间: 9:00-20:00(周末正常接待)
海上清和玺售楼处电话☎:400-998-9694✔✔海上清和玺营销中心电话:400-9989-694【24小时热线】海上清和玺预约热线:4009989694【售楼处电话】

楼盘项目全面介绍,本电话为开发商提供线上预约售楼电话,楼盘项目全面介绍(包含楼盘简介,均价,房价,现房,期房,别墅,叠墅,大平层,价格,楼盘地址,户型图,交通规划,备案价,备案名,项目配套,样板间,开盘时间,认筹时间,楼盘详情,售楼处电话,最新消息,最新详情,周边配套,一房一价,最新进展等详情咨询)楼盘详情丨价格丨更多优惠丨机不可失丨欢迎致电丨诚邀品鉴!售楼处位置丨特价房丨工抵房丨剩余房源丨户型图丨最新消息丨免责声明:将文章内容综合来源于网络、只作分享,版权归原作者所有!!如有侵权,请联系我们,我们第一时间处理如有问题欢迎来电咨询,专业一对一热情服务,让您用专业眼光去买房。如果您想了解更多楼盘详情,欢迎提前预约拨打