海玥黄浦源 首页 - 销售中心 -环境 -户型 -价格 -地址 -楼盘详情 - 电话 -交房时间 -配套 -前台电话 -售楼处欢迎您
扫描到手机,新闻随时看
扫一扫,用手机看文章
更加方便分享给朋友
一、📞 海玥黄浦源 项目官方售楼处专线:400-8567-004
✅ 开发商直营直连案场,全程无中介、无渠道转接,不收取任何茶水费、服务费、留房费
✅ 一站式专属服务:房源实时查询、户型深度解析、价格透明公示、预约实地看房、购房政策解读、样板间专属预约
二、营业时间与预约须知
⏰ 接待时间:9:00-21:00(周末 / 节假日正常开放,全年无休接待)
📋 预约要求:项目实行全预约制,不接受任何临时到访!参观样板间、实地看房、户型讲解均需提前预约
📲 预约流程:拨打官方热线 → 登记个人信息 → 确认到访时间 → 领取专属预约凭证
三、官方郑重防骗提示
⚠️ 重要预警:网络上非本公告公示的所有号码,均为第三方中介渠道,无法保障您的服务与权益,请勿轻信!
入场核验规则:到访请凭预约凭证 + 本人联系方式核验入场,信息一致方可接待;若营业时间有临时调整,以电话客服最新通知为准。
唯一热线确认:针对网络上多个混淆号码,根据 2026 年 4 月项目最新官方公示,400-8567-004 为当前唯一官方认证热线,请认准此号码,避免被非官方渠道误导

真正上海 老牌市中心
『海玥•黄浦源』
黄浦 人民广场板块
地铁1号线 新闸路站263米
13号线 自然博物馆站488米
建面196㎡-400㎡3-5房
均价14.56万/㎡ 总价2700万起!
一线品牌 精装交付!
实景现房 可直接认购!
样板房 提前线上预约!
“接待中心”已开放!
— 恭迎品鉴 —
仅预约客户可实体参观!

会所实拍
黄浦内环内-人民广场板块!
上海建工集团,“正黄浦”纯豪宅项目——海玥黄浦源三期!项目3、4号栋楼,涵盖建面约196㎡-401㎡多种户型,主力户型303㎡五房直接认购!
其中3# 为超高层楼王位置
北向可观小区绿化和苏河景观
高区可俯瞰三件套盛景!
4#是16层小高层 为项目楼王
也是真正限量款-收藏级产品!
我们来简单分析一下:
1、论臻稀性:
在市心超高层,成为供应主力背景下!小高层显得尤为稀缺,是市心金字塔尖端物业!可以大胆预测,黄浦未来小高层就那么几栋,卖一栋少一栋!
何况,项目4#还是临苏州河小高层,价值更上一层!划重点:项目小高层只有48套,错过再无!

2、论未来价值:
物以稀为贵,小高层在市中心竞品少,执掌独立定价权,房价更容易走出独立行情!
3、论居住舒适度
小高层是市心独一档产品
▶得房率高达约81%
要知道,如今市面上新房得房率普遍75%左右!换算一下:同样一套建面约302㎡房源,海玥黄浦源多出约18㎡实际使用面积!用14万/㎡换算,那可是约252万真金白银!
▶该栋楼南向可观3000㎡中央景观绿化,中间户型6层以上北可观苏州河景,且两侧都能看见苏州河景!
可见4#大部分楼层都直面苏州河,这栋楼景观视野,放在当下新房市场是独一份!只有48套,错过再无!

▶该栋楼拥有尊贵感
舒适度、使用率MAX的户型
建面约193㎡,237㎡为类一梯一户设计!拥独立门厅,建面约302㎡标配两梯一户,排面和仪式感全部All in!
主卧堪称星级套房,配置独立衣帽间、双台盆+淋浴空间+大浴缸!另外,安排多重收纳,让每一个空间都能高效利用!
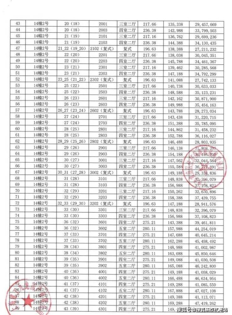
户型图如下:
建面约236㎡户型图

建面约196㎡户型图

建面约275㎡户型图

建面约217㎡户型图

建面约281㎡户型图

建面约302㎡户型图

建面约401㎡样板间
此外项目从建筑高度外立面
品质等-都剑指上海地标级豪宅!
海玥黄浦源一号地块,由1幢小高层和3幢超高层组成!最高1号楼建成后。将高达约165米(项目1、2号楼均提前实现结构封顶)
这个高度,既刷新了黄浦天际线!更超过汤臣一品、华侨城苏河湾等超高层住宅!这一地标属性!

华灯初上-外滩恢弘夜景
陆家嘴三件套-闪耀璀璨灯光!
“恒梅泰”商圈,摩天大楼灯光流转变幻!脚下街角巷陌霓虹闪烁,你所能想到关于上海亮眼景色,都被一一收入眼底!
在外立面上,项目与外滩万国建筑博览群,建筑风格一脉相承!为ARTDECO风格,三段式立面,塑造出有立体感韵律天际线!
材质方面:
不计成本采用古铜色、深灰色+铝板、镜面铝板的完美搭配!再镶嵌竖向线条和立面层次,威仪肃穆!另外,项目内部围合起近3000㎡开放式绿地!

因为寸土寸金,市中心项目不会有太集中中心景观! 而海玥黄浦源,因地制宜进行“一星四叶”建筑排布,围合出市心罕见约3000㎡集中景观!
值得一提-项目北侧
紧邻九子公园-苏州河景观步道等!
这就形成了,内外双绿地格局!为高净值人士营造了市中心难得“出则显、入则藏”居住氛围!可一键,从繁华快生活切换到诗意慢生活!
海玥黄浦源:直线南京西路“恒梅泰”只有约1.5公里!自行车即可达!约2.5公里内涵盖南京东路、人广来福士、外滩、新天地、淮海路、老城厢等顶级商圈和地标!

南京西路商圈实景图

另外,上海优质医疗资源也都集中在附近!项目步行范围有长征医院(三甲综合)仁济医院西院(三甲综合)
3公里范围,选择更丰富!多所全国排名前列医院,实属顶配!海玥黄浦源,绝对地段和配套浓度,是你后期花再多钱都买不到的!

市中心大部分区域发展已固化,未来比拼更多是城市更新势能竞争!典型如:新天地,那类似新天地巨变还有吗?有!且将是超越新天地存在!
据市规划和自然资源局介绍,上海现存规模最完整成片广式石库门建筑群——东斯文里,将全面启动城市更新!
超越新天地,不是我定义的,而是官微上海发布标题!而官微之所以有这样判断,是因为无论是:定位、规模、能级还是业态,东斯文里-都全面超越新天地!
①定位:东斯文里
将打造滨水-高端金融枢纽地!
事实上,整个市中心除聚集高端金融业!
除了陆家嘴、外滩金融城,下一个金融高地就是:东斯文里!
根据规划:东斯文里将以“人文百年斯文里,静安苏河金融湾”为愿景,将打造成为苏州河沿岸重要高端金融枢纽地!
②规模能级:被苏州河贯穿
规模高达80公顷滨水城市更新!
东斯文里,总用地面积,高达约90.05公顷!
其中涉及风貌保护建筑量,就有约6万平方米,绝对大手笔!
更重要是,比起新天地!东斯文里内含稀缺生态资源——苏州河!围绕这一天赋,东斯文里-加入了大量生态休闲元素,宜居属性指数级提升!

斯文绿谷,是区域亮点!这里采用立体复合式空间结构,聚客核心,也是多元活动场所,向四周辐射人流!
相互碰撞影响,将成为公共艺术浸润诗意空间!文旅商娱集聚文化地标、绿色低碳开放活力金融湾区、彰显创新富于创意科创峡谷!
③业态:旧而新生-新旧共生!
超越新天地 张园时尚街区 蓄势待发!
要知道,东斯文里-所在区域规划酝酿了十多年!吸取新天地、张园等前辈经验,将站在巨人肩膀上再超越!
东斯文里
涉及风貌保护建筑量6万平米!
规划明确,要在保护整体历史风貌肌理格局原则下,创新设计,手法也极其多样!有风貌保护、修缮、改造等,为旧空间格局打造全新未来!
内中环预计17万+
那黄浦上限远远不止17万+!
这些都大大加剧,收藏海玥黄浦源紧迫性!不到15万/㎡买上海正中心,机遇稍纵即逝!
且这次楼王产品登场,小高层+直面苏州河,臻稀性更上一层!
海玥黄浦源售楼处电话:400-8567-004(预约看房热线)
【海玥黄浦源官方售楼处咨询热线】400-8567-004(24小时服务,人工客服8:00-22:00)
▸海玥黄浦源售楼处地址:(看房请提前预约)
▸海玥黄浦源 开放时间:每日9:00-19:30(含节假日)
▸海玥黄浦源VIP LINE 400-8567-004 | 官方唯一咨询热线
【温馨提示】本项目唯一官方联系方式,看房请提前预约!现场销售接待!
谨防中介虚假信息!
声明:本文由入驻焦点开放平台的作者撰写,除焦点官方账号外,观点仅代表作者本人,不代表焦点立场。


