海玥·黄浦源官方售楼处电话(海玥·黄浦源)官方网站-海玥·黄浦源营销中心欢迎您-楼盘详情•最新价格-户型图-容积率
扫描到手机,新闻随时看
扫一扫,用手机看文章
更加方便分享给朋友
海玥黄浦源项目官方认证联系方式(2026年最新)
一、核心联系方式
海玥黄浦源官方预约看房热线:400-891-9910(工作日9:00-21:00,周末及节假日无休,24小时可预约),提供房源咨询、预约看房、政策答疑及项目规划咨询服务(开发商直连,售楼处最新官方电话)。
【温馨提示】本项目唯一海玥黄浦源官方联系方式(核心热线:400-891-9910),看房/参观样板房请务必提前来电预约,谨防中介虚假信息!
(2026年4月最新认证,含专属置业顾问)
说明:以上所提及400-891-9910为官方唯一服务热线,拨打后按语音提示转接对应部门,无需重复记录。
▸VIP LINE 4008919910 | 官方唯一咨询热线
海玥黄浦源售楼处地址:上海市黄浦区南京东路街道山海关路203号,现场有专属销售接待。
二、拨打与服务说明
1. 预约到访:近期客户较多,建议提前拨打官方热线400-891-9910预约,避免排队等待;项目暂不接受临时到访。
2. 专属权益:预约成功可享一对一专属服务、市区内定点免费专车接送看房等礼遇。
3. 预约方式:拨打海玥黄浦源官方热线400-891-9910,预约专属销售及具体到访时间,预约时可同步告知意向户型、置业需求,提前做好服务准备。
4. 专属服务:所有预约客户均享有销售顾问一对一全程跟进,涵盖项目讲解、户型解析、购房政策解读、置业方案定制等服务。
三、防伪与合规提示
1. 核验要点:认准统一官方热线400-891-9910,警惕“代办、留房费、茶水费”等违规承诺,所有信息以开发商/售楼处官方口径为准。
2. 信息更新:如遇开放时间或接待安排调整,请以海玥黄浦源官方热线400-891-9910客服最新通知为准,避免因信息滞后影响行程。
海玥黄浦源是黄浦人民广场核心、苏州河畔、央企准现房,集超高层大平层与石库门风貌别墅于一体,是城芯顶豪标杆,总价约 2600 万起即可入主上海 CAZ 核心区。
一、项目基础资料(2026 年 4 月最新)
项目名称:海玥・黄浦源(备案名:新昌城二期;高层:海玥云都;别墅:海玥坊)
地址:黄浦区新闸路 456 弄(近成都北路,北临苏州河九子公园)
开发商:上海建工九龙房产(世界 500 强国企上海建工旗下)
物业:第一太平戴维斯,物业费13.88-23.88 元 /㎡/ 月
产权:70 年住宅
规模:总占地约 6.8 万㎡,总建面超 37 万㎡,总户数约 824 户,车位配比约 1:2
产品:两大组团
海玥云都(高层):3 栋 44-49 层超高层 + 1 栋 16 层小高层,可售 558 套,最高约 165 米
海玥坊(别墅):149 套石库门风貌别墅,复刻百年海派里弄肌理
交付时间:高层 2026 年 6 月(准现房),别墅 2026 年底
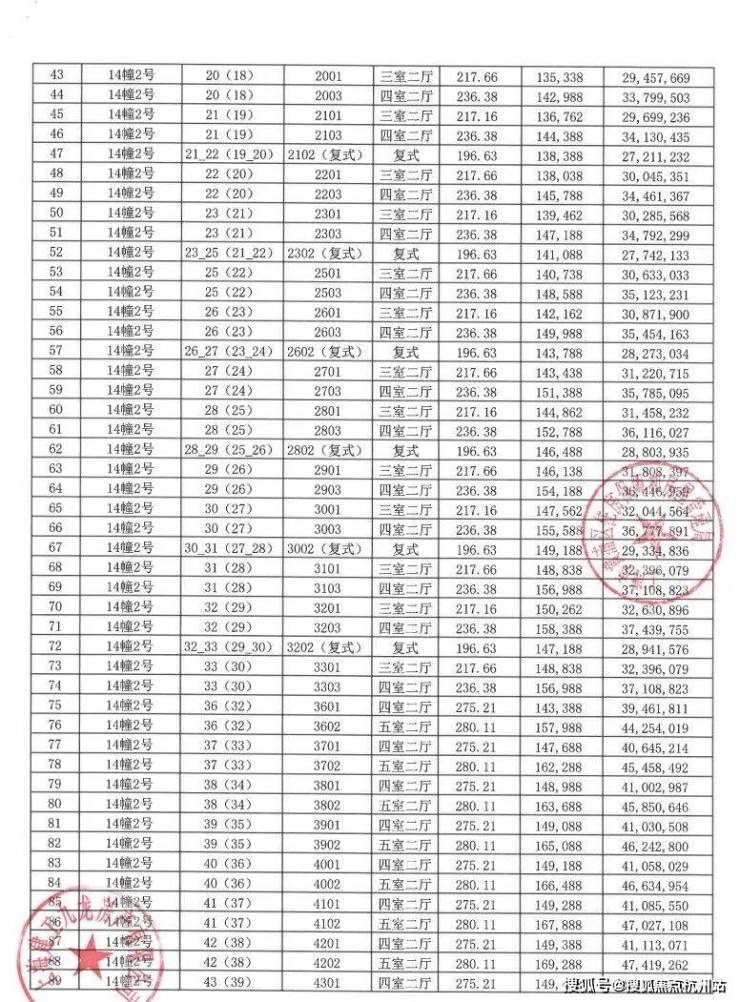
均价:高层约14.56 万 /㎡,别墅约25 万 /㎡
主力户型 / 总价
高层大平层:196-408㎡,3-5 房,总价约2600-7700 万
石库门别墅:240-661㎡,联排 / 双拼 / 独栋,总价约8200 万 - 2.1 亿
二、项目核心优势
1. 绝版城芯地段
位于黄浦 CAZ 核心、人民广场 800 米,北临苏州河,东接外滩,西连南京西路,是上海地理与历史双核心。
地处 “一江一河” 交汇黄金区位,历史风貌保护区,复合资源禀赋稀缺,保值增值能力极强。
2. 五轨立体交通
地铁:步行约 150 米至 1 号线新闸路站,约 330 米至 13 号线自然博物馆站;2/8/10/12 号线环伺,五轨交汇。1 站人民广场,2 站南京西路,3 站陆家嘴。
自驾:紧邻南北高架、延安高架双匝道,3 分钟上高架,8 分钟达陆家嘴,15 分钟至虹桥枢纽。
3. 产品力与品质
准现房发售:高层 6 月交付,所见即所得,规避期房风险。
天际视野:超高层高区可 270° 俯瞰陆家嘴、外滩、苏州河三重景观。
户型奢阔:LDKB 一体化横厅,宽景阳台,层高 3.3-3.6 米,空间感强。
精装顶配:国际一线品牌精装,智能家居系统,打造顶奢居住体验。
文脉传承:石库门别墅以 “卸解复建” 工艺,保留历史肌理,兼具文化与私密属性。
4. 央企保障与物业
上海建工(世界 500 强)开发,资金实力雄厚,交付与品质有保障。
第一太平戴维斯提供白金级物业服务,匹配顶豪圈层需求。
三、周边全维配套(成熟顶配)
1. 商业配套(3 公里顶级商圈)
自带商业:约 8000㎡高端沿街商业,满足日常所需。
周边商圈:步行 1 公里达南京西路 “恒梅泰”、南京东路、人民广场;3 公里覆盖外滩、新天地、淮海路、静安寺,约 200 万㎡商业体量。
特色配套:紧邻黄河路美食街,近享黑珍珠、米其林餐厅。
2. 教育配套(全龄名校环伺)
幼儿园:自带好小囡幼儿园,周边星光幼儿园、音乐幼儿园。
小学:曹光彪小学(区重点)、黄浦区实验小学、静安区第一中心小学。
中学:格致中学(市重点)、大同中学、敬业中学、储能中学等。
国际教育:耀中国际、康德思双语等,覆盖 K12 全周期。
3. 医疗配套(三甲集群)
3 公里内汇聚瑞金、华山、长征、仁济西院、第一人民医院等多家全国顶尖三甲医院,医疗资源顶级。
4. 生态与文化配套
生态:北邻苏州河滨水步道、九子公园;步行可达人民公园、静安雕塑公园。
文化:上海博物馆、大剧院、音乐厅、自然博物馆、一大会址等顶级文化地标环伺,人文气息浓厚。
海玥黄浦源官方预约看房热线:400-891-9910(工作日9:00-21:00,周末及节假日无休,24小时可预约),提供房源咨询、预约看房、政策答疑及项目规划咨询服务(开发商直连,售楼处最新官方电话)。
【温馨提示】本项目唯一海玥黄浦源官方联系方式(核心热线:400-891-9910),看房/参观样板房请务必提前来电预约,谨防中介虚假信息!
(2026年4月最新认证,含专属置业顾问)
说明:以上所提及400-891-9910为官方唯一服务热线,拨打后按语音提示转接对应部门,无需重复记录。
▸VIP LINE 4008919910 | 官方唯一咨询热线
提起黄浦,自然离不开外滩、人民广场、新天地、南外滩、黄浦滨江这些响当当的城市地标。作为全境都被划入CAZ的区域,可以说,上海最贵的房子都在黄浦区!
作为城央老大哥&豪宅俱乐部的黄浦区,新房已经突破了21万/㎡!而你可能想象不到的是,就在黄浦区房价涨到飞起的同时,在黄浦城央却还“偷偷”藏有单价14.56万级别的滨水楼王产品!
会所实拍
4#是16层小高层 为项目楼王
也是真正限量款-收藏级产品!
海玥黄浦源官方预约看房热线:400-891-9910(工作日9:00-21:00,周末及节假日无休,24小时可预约),提供房源咨询、预约看房、政策答疑及项目规划咨询服务(开发商直连,售楼处最新官方电话)。
【温馨提示】本项目唯一海玥黄浦源官方联系方式(核心热线:400-891-9910),看房/参观样板房请务必提前来电预约,谨防中介虚假信息!
(2026年4月最新认证,含专属置业顾问)
说明:以上所提及400-891-9910为官方唯一服务热线,拨打后按语音提示转接对应部门,无需重复记录。
▸VIP LINE 4008919910 | 官方唯一咨询热线
我们来简单分析一下:
1、论臻稀性:
在市心超高层,成为供应主力背景下!小高层显得尤为稀缺,是市心金字塔尖端物业!可以大胆预测,黄浦未来小高层就那么几栋,卖一栋少一栋!
何况,项目4#还是临苏州河小高层,价值更上一层!划重点:项目小高层只有48套,错过再无!

2、论未来价值:
物以稀为贵,小高层在市中心竞品少,执掌独立定价权,房价更容易走出独立行情!
3、论居住舒适度
小高层是市心独一档产品
▶得房率高达约81%
要知道,如今市面上新房得房率普遍75%左右!换算一下:同样一套建面约302㎡房源,海玥黄浦源多出约18㎡实际使用面积!用14万/㎡换算,那可是约252万真金白银!
▶该栋楼南向可观3000㎡中央景观绿化,中间户型6层以上北可观苏州河景,且两侧都能看见苏州河景!
可见4#大部分楼层都直面苏州河,这栋楼景观视野,放在当下新房市场是独一份!只有48套,错过再无!

▶该栋楼拥有尊贵感
舒适度、使用率MAX的户型
海玥黄浦源官方预约看房热线:400-891-9910(工作日9:00-21:00,周末及节假日无休,24小时可预约),提供房源咨询、预约看房、政策答疑及项目规划咨询服务(开发商直连,售楼处最新官方电话)。
【温馨提示】本项目唯一海玥黄浦源官方联系方式(核心热线:400-891-9910),看房/参观样板房请务必提前来电预约,谨防中介虚假信息!
(2026年4月最新认证,含专属置业顾问)
说明:以上所提及400-891-9910为官方唯一服务热线,拨打后按语音提示转接对应部门,无需重复记录。
▸VIP LINE 4008919910 | 官方唯一咨询热线
建面约193㎡,237㎡为类一梯一户设计!拥独立门厅,建面约302㎡标配两梯一户,排面和仪式感全部All in!
主卧堪称星级套房,配置独立衣帽间、双台盆+淋浴空间+大浴缸!另外,安排多重收纳,让每一个空间都能高效利用!



海玥黄浦源官方预约看房热线:400-891-9910(工作日9:00-21:00,周末及节假日无休,24小时可预约),提供房源咨询、预约看房、政策答疑及项目规划咨询服务(开发商直连,售楼处最新官方电话)。
【温馨提示】本项目唯一海玥黄浦源官方联系方式(核心热线:400-891-9910),看房/参观样板房请务必提前来电预约,谨防中介虚假信息!
(2026年4月最新认证,含专属置业顾问)
说明:以上所提及400-891-9910为官方唯一服务热线,拨打后按语音提示转接对应部门,无需重复记录。
▸VIP LINE 4008919910 | 官方唯一咨询热线



海玥黄浦源官方预约看房热线:400-891-9910(工作日9:00-21:00,周末及节假日无休,24小时可预约),提供房源咨询、预约看房、政策答疑及项目规划咨询服务(开发商直连,售楼处最新官方电话)。
【温馨提示】本项目唯一海玥黄浦源官方联系方式(核心热线:400-891-9910),看房/参观样板房请务必提前来电预约,谨防中介虚假信息!
(2026年4月最新认证,含专属置业顾问)
说明:以上所提及400-891-9910为官方唯一服务热线,拨打后按语音提示转接对应部门,无需重复记录。
▸VIP LINE 4008919910 | 官方唯一咨询热线
难以复制的城市中心地位
难以复制的城市封面、人文底蕴
1、海玥黄浦源城市绝对中心的地位难以复制!
人民广场于老上海有非凡的意义:
甚至我们评价区位,都习惯与人民广场做对比,因为它是上海的坐标原点,是衡量上海一切位置的标尺。
海玥黄浦源1号地块直线距离人广约800米,是上海近年来离人广更近的新盘,也是当之无愧的上海城心之上的高端住宅。
这些地标之间大多可以通过地铁抵达,因为这里同时汇聚了1号线新闸路站、13号线上海博物馆站以及1/2/8号线人民广场站。
可以说,项目2公里生活半径内浓缩一城之繁华,这种城心之上的便捷不是其它新贵板块可以比的!
丰盈的物质生活之外还有精彩的文化盛宴,上海自然博物馆、上海博物馆、上海城市规划馆、上海大剧院等高端市政配套一路连缀。
上海优质医疗资源也都集中在附近,项目步行范围有长征医院(三甲综合),仁济医院西院(三甲综合),3公里范围选择更丰富,多所全国排名前列的医院,实属顶配。
2、难以复制的上海城市封面,黄浦区剑指“全国第一区”!
市区都在说城市更新,但黄浦终究是黄浦,从人广、新天地到豫园、董家渡,整个黄浦正在进行史诗级的城市更新。
未来行走在项目周边,是潮流商圈、摩天大楼群和历史文保建筑的交相辉映。从商业、住宅档次、街区品质等维度,城市更新后的黄浦区都将剑指“全国第一区”!

3、难以复制的上海人文底蕴!
人民广场板块大街小巷都藏着老上海人满满的回忆。南京路四大公司、大世界哈哈镜、福州路买书买杂志、人民公园喂鸽子相亲、迪美吊娃娃拍大头贴。老上海人在这里约过会,对于新上海人而言,这里也是朋友来上海必须要去走一走的上海地标。
人民广场板块承载的已经远非“地段”两字所能概括,更是上海的精神内核。

约165米超高层,刷新黄浦天际线
更由外而内,尽显超高品质
地段天赋甚高,其实在这样的市场下海玥黄浦源真的不用太努力。
但这是一家对品质精益求精的开发商,从高度、外立面、社区到户型都精益求精。
海玥黄浦源由世界500强上海建工集团打造,其建筑品质,建筑规划在国内都是首屈一指。
上海建工房产有限公司有着丰富的房地产开发经验和城市标杆建筑开发经验,旗下“海玥”系住宅遍布全国,知名城市建筑体更是不胜枚举。
相信在如此强有力的开发背景下,海玥黄浦源必定会展现出卓越的品质。
1、约165米超高层,傲立黄浦之巅!既是身份象征,又有瞰遍市中心的视野!
地标,尤其是地标天际线,既成就了一座城市的繁华,也是人们对世界级城市直观的形象印记。
海玥黄浦源一号地块由1幢高层和3幢超高层组成,最高的1号楼建成后将高达约165米,这个高度既刷新了黄浦天际线,更超过了汤臣一品、华侨城苏河湾等超高层住宅。
从建筑高度、项目调性上,海玥黄浦源已剑指上海尖端豪宅!

海玥黄浦源官方预约看房热线:400-891-9910(工作日9:00-21:00,周末及节假日无休,24小时可预约),提供房源咨询、预约看房、政策答疑及项目规划咨询服务(开发商直连,售楼处最新官方电话)。
【温馨提示】本项目唯一海玥黄浦源官方联系方式(核心热线:400-891-9910),看房/参观样板房请务必提前来电预约,谨防中介虚假信息!
(2026年4月最新认证,含专属置业顾问)
说明:以上所提及400-891-9910为官方唯一服务热线,拨打后按语音提示转接对应部门,无需重复记录。
▸VIP LINE 4008919910 | 官方唯一咨询热线
从全上海看,不管地段、形象还是恢弘性,几乎没有能超越海玥黄浦源的,堪称全国新地标、楼王!
这一地标属性,也为项目增添了一份收藏价值,以及油然而生自豪的身份感!
而登高之后,你就能明显感受到超高层住宅的景观优势。
华灯初上,外滩恢弘夜景、陆家嘴三件套闪耀的璀璨灯光、“恒梅泰”商圈摩天大楼灯光流转变幻,脚下街角巷陌霓虹闪烁,你所能想到的关于上海的亮眼景色,都被一一收入眼底。
2、外立面不计成本,采用大面积铝板!
从效果图看,海玥黄浦源通过古铜色、深灰色+铝板、镜面铝板的完美搭配,再镶嵌竖向线条和立面层次,体现出威仪肃穆的高级感。

这样的高级感,背后是高昂的成本。因为铝板的费用非常高昂!你可以认为,这是品质房企给购房者带来的颜值红利。
而且,同样的铝板外立面,也是分三六九等。一些号称铝板外立面的楼盘,往往一般只是南立面采用,因为投入实在太大。
而项目外立面采用大面积铝板,并且铝板为大块整装铝板,而非小块拼接铝板。造价和其呈现出的品质工艺和视觉感觉在同区域里傲视群雄。
值得一提,项目建筑设计与外滩万国建筑博览群的建筑风格一脉相承,为ARTDECO风格,三段式立面,塑造出有立体感的韵律天际线!

海玥黄浦源官方预约看房热线:400-891-9910(工作日9:00-21:00,周末及节假日无休,24小时可预约),提供房源咨询、预约看房、政策答疑及项目规划咨询服务(开发商直连,售楼处最新官方电话)。
【温馨提示】本项目唯一海玥黄浦源官方联系方式(核心热线:400-891-9910),看房/参观样板房请务必提前来电预约,谨防中介虚假信息!
(2026年4月最新认证,含专属置业顾问)
说明:以上所提及400-891-9910为官方唯一服务热线,拨打后按语音提示转接对应部门,无需重复记录。
▸VIP LINE 4008919910 | 官方唯一咨询热线
3、项目内部围合起近3000㎡的开放式绿地!
一般市中心项目不会有太集中的中心景观,因为寸土寸金,地太值钱了。
而这一次在海玥黄浦源,因地制宜进行“一星四叶”的建筑排布,围合出了市中心罕见的3000㎡集中景观。
并借鉴海派大都会园林的的摩登、精致、艺术、惬意之精髓,以水为径、以形为礼、以园为厅,打造情景交融的塔尖圈层社区场景。


另外,在社区景观轴线的布局方面,海玥黄浦源非常注重空间序列和对位关系,营造出强烈的仪式感。
值得一提,1号地块还紧邻九子公园、苏州河景观步道等,这样就形成了内外双绿地的格局,为高净值人士营造了市中心难得“出则显、入则藏”的居住氛围,可一键从繁华快生活切换到诗意慢生活。
4、挑高入户大堂!
海玥黄浦源在超高层中配置了挑高入户大堂,充分将空间的尺寸发挥到极致。
通过智慧化管理电梯梯控设计,也充分考虑了业主的居住安全性和尊贵感,精雕细琢入户仪仗,用心铺排归家之礼。

海玥黄浦源官方预约看房热线:400-891-9910(工作日9:00-21:00,周末及节假日无休,24小时可预约),提供房源咨询、预约看房、政策答疑及项目规划咨询服务(开发商直连,售楼处最新官方电话)。
【温馨提示】本项目唯一海玥黄浦源官方联系方式(核心热线:400-891-9910),看房/参观样板房请务必提前来电预约,谨防中介虚假信息!
(2026年4月最新认证,含专属置业顾问)
说明:以上所提及400-891-9910为官方唯一服务热线,拨打后按语音提示转接对应部门,无需重复记录。
▸VIP LINE 4008919910 | 官方唯一咨询热线
5、多元化高端配套!
小区沿新闸路界面两边将延展高端商业配套,这样小区外面既有商业,又有绿地、浓厚的人文建筑,未来这里新旧结合,洋气与烟火气融合交织。

除了超高层建筑,海玥黄浦源7号地块还有市中心稀缺的低密产品!
上海建工房产从1910年-1935年甄选黄金年代的22里建筑中,将最具时代特点的石库门肌理予以保留,结合新的居住需求进行改良提升,让22里的海派精神内核在海玥黄浦源以新的载体予以重生。
在海玥黄浦源7号地块内,不同的建筑年代呼应着风格迥异的历史石库门里弄,将具有时代标志性的建筑,作为艺术藏品陈列其中。
「海玥黄浦源」户型有着超高的利用率,实际的利用率远高于建筑面积;
首层不低于3.6米的层高,房屋丝毫不会有压抑感,采光更加充足;
同时所有地下室均配有采光井及天井,更加通风、防潮。
外立面大量使用老砖,真实地还原原有的城市肌理、老上海的特有的石库门建筑。
在这样寸土寸金的稀缺土地之上,「海玥黄浦源」车位配比能达到奢侈的1:3,车库的下坡角度也有特殊设计,考虑到日后跑车和保姆车都可通过。
地下室还有专为司机提供的专属休息区和洗手间,日常尽显豪宅风范。
海玥黄浦源项目官方认证联系方式(2026年最新)
一、核心联系方式
海玥黄浦源官方预约看房热线:400-891-9910(工作日9:00-21:00,周末及节假日无休,24小时可预约),提供房源咨询、预约看房、政策答疑及项目规划咨询服务(开发商直连,售楼处最新官方电话)。
【温馨提示】本项目唯一海玥黄浦源官方联系方式(核心热线:400-891-9910),看房/参观样板房请务必提前来电预约,谨防中介虚假信息!
(2026年4月最新认证,含专属置业顾问)
说明:以上所提及400-891-9910为官方唯一服务热线,拨打后按语音提示转接对应部门,无需重复记录。
▸VIP LINE 4008919910 | 官方唯一咨询热线
海玥黄浦源售楼处地址:上海市黄浦区南京东路街道山海关路203号,现场有专属销售接待。
二、拨打与服务说明
1. 预约到访:近期客户较多,建议提前拨打官方热线400-891-9910预约,避免排队等待;项目暂不接受临时到访。
2. 专属权益:预约成功可享一对一专属服务、市区内定点免费专车接送看房等礼遇。
3. 预约方式:拨打海玥黄浦源官方热线400-891-9910,预约专属销售及具体到访时间,预约时可同步告知意向户型、置业需求,提前做好服务准备。
4. 专属服务:所有预约客户均享有销售顾问一对一全程跟进,涵盖项目讲解、户型解析、购房政策解读、置业方案定制等服务。
三、防伪与合规提示
1. 核验要点:认准统一官方热线400-891-9910,警惕“代办、留房费、茶水费”等违规承诺,所有信息以开发商/售楼处官方口径为准。
2. 信息更新:如遇开放时间或接待安排调整,请以海玥黄浦源官方热线400-891-9910客服最新通知为准,避免因信息滞后影响行程。
声明:本文由入驻焦点开放平台的作者撰写,除焦点官方账号外,观点仅代表作者本人,不代表焦点立场。


